Free Access

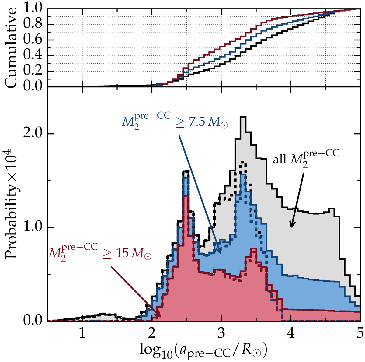
Fig. D.1.

image

Pre-CC separation distribution for binaries with a collapsing star and a main sequence companion. Colors indicate the pre-CC mass of the MS companion according to the legend. Dashed histograms indicate post-interaction (RLOF or common envelope) binaries. Top panel: corresponding cumulative distributions.

Current usage metrics show cumulative count of Article Views (full-text article views including HTML views, PDF and ePub downloads, according to the available data) and Abstracts Views on Vision4Press platform.

Data correspond to usage on the plateform after 2015. The current usage metrics is available 48-96 hours after online publication and is updated daily on week days.

Initial download of the metrics may take a while.