Free Access

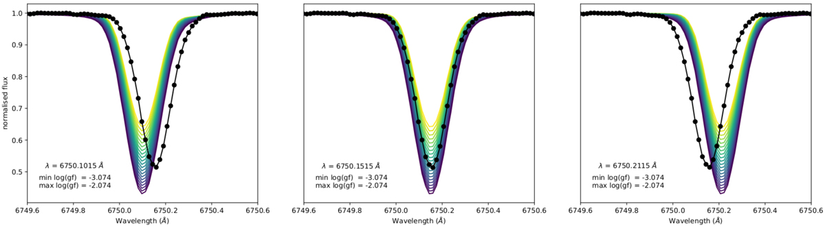
Fig. 3.

image

An example of the iterative detailed modelling of the λ6750.2 Fe I line in 51 Peg. The observed line profile is shown in black with solid markers, and the line profiles synthesised with varying input atomic parameters are shown in coloured lines (corresponding to different log(gf) values). The panels show three of the synthesised wavelength values: λinput −0.05 Å (left panel), λinput (middle panel), and λinput + 0.05 Å (right panel). Each panel shows the full −0.5 dex <  log(gf) <  + 0.5 dex grid (in steps of 0.05 dex).

Current usage metrics show cumulative count of Article Views (full-text article views including HTML views, PDF and ePub downloads, according to the available data) and Abstracts Views on Vision4Press platform.

Data correspond to usage on the plateform after 2015. The current usage metrics is available 48-96 hours after online publication and is updated daily on week days.

Initial download of the metrics may take a while.