Open Access

Fig. 2

image

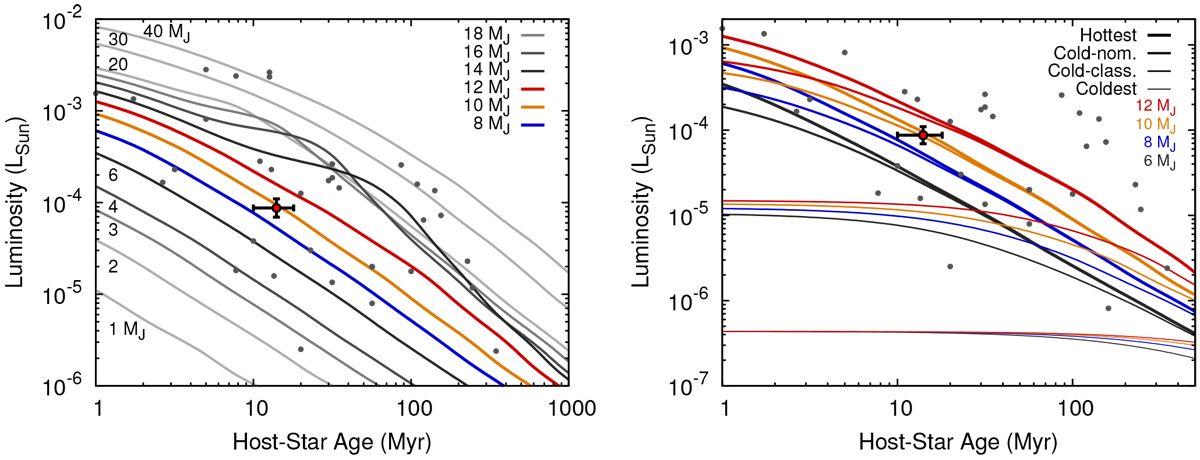
Left panel: placement of HIP 65426 b (point with error bars) in the age-luminosity diagram. The dots show other direct detections from the literature; the error bars are omitted for clarity. No formation delays Δtform are subtracted. The cooling curves are the BEX hottest starts (Eq. 1a) with the AMES-COND (Baraffe et al. 2003) atmospheres for masses of mp = 1–40 MJ (bottom to top; see labels and legend). Right panel: effect of different post-formation luminosities, as given by the populations of Mordasini et al. (2017): hottest starts (as in the left panel), cold-nominal population, cold-classical population, and coldest starts (thick to thin lines; see Eq. (1)). Only masses of mp = 6 (black), 8 (blue), 10 (orange), and 12 MJ (red) are shown (bottom to top). The axis ranges relative to the left panel are different.

Current usage metrics show cumulative count of Article Views (full-text article views including HTML views, PDF and ePub downloads, according to the available data) and Abstracts Views on Vision4Press platform.

Data correspond to usage on the plateform after 2015. The current usage metrics is available 48-96 hours after online publication and is updated daily on week days.

Initial download of the metrics may take a while.