Open Access

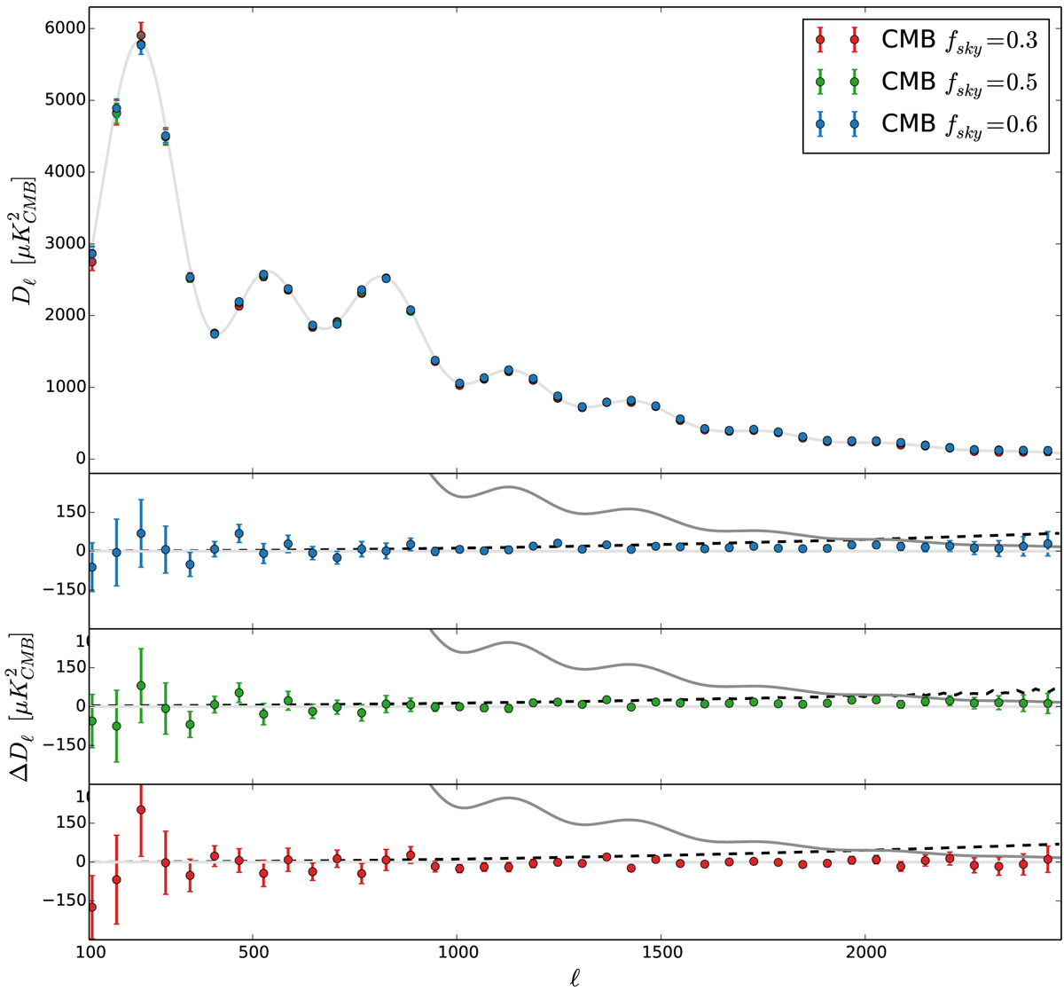
Fig. 6.

image

CMB angular power spectrum obtained from the SMICA fit of the model to the three different data sets used, corresponding to the masks with fsky= 0.3, 0.5, and 0.6 (top panel). In grey we show the best fit theoretical ΛCDM spectrum obtained with Plik. The three bottom panels show the residuals between theory and data for the three cases, together with the theoretical value of the angular power spectrum scaled to 20% power in grey. The black dashed line shows the total contribution of extragalactic foregrounds at 217 GHz. To enhance readability, only one point in four is plotted.

Current usage metrics show cumulative count of Article Views (full-text article views including HTML views, PDF and ePub downloads, according to the available data) and Abstracts Views on Vision4Press platform.

Data correspond to usage on the plateform after 2015. The current usage metrics is available 48-96 hours after online publication and is updated daily on week days.

Initial download of the metrics may take a while.