Free Access

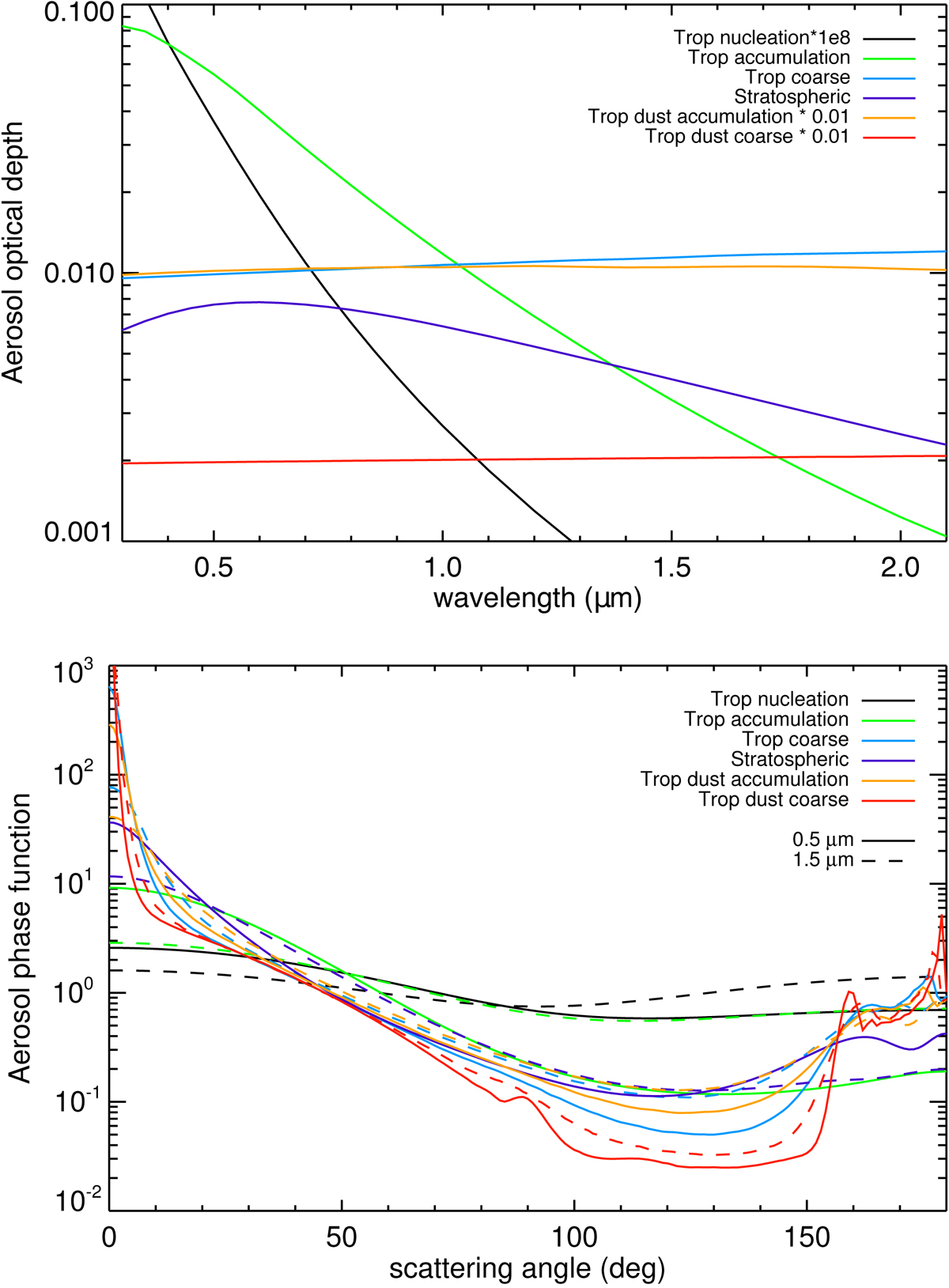
Fig. 3.

image

Top panel: extinction curves for the different aerosol modes used for the wavelength range of X-shooter (0.3 to 2.1 μm). Bottom panel: phase function as a function of scattering angle for each aerosol mode used at two different wavelengths, 0.5 (solid) and 1.5 (dashed) μm. Both the extinction curves and phase functions were calculated assuming the Mie approximation and were calculated based on the distribution for each aerosol mode with the default values given in Table 2.

Current usage metrics show cumulative count of Article Views (full-text article views including HTML views, PDF and ePub downloads, according to the available data) and Abstracts Views on Vision4Press platform.

Data correspond to usage on the plateform after 2015. The current usage metrics is available 48-96 hours after online publication and is updated daily on week days.

Initial download of the metrics may take a while.