Free Access

Fig. 7.

image

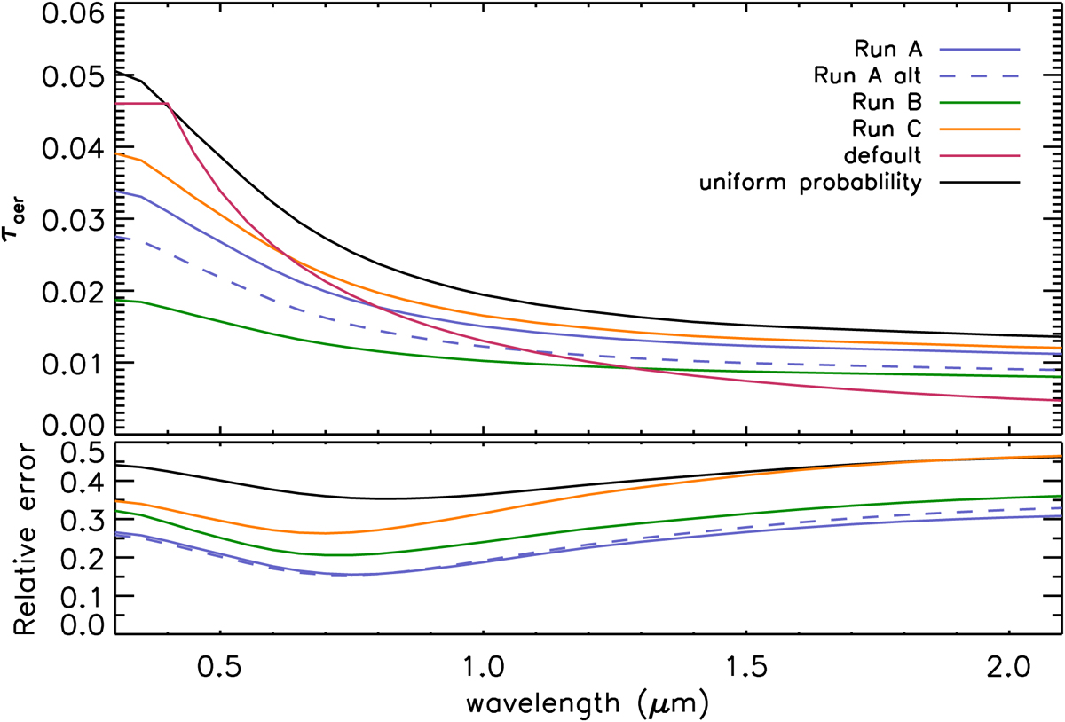
Top panel: aerosol extinction curves at the zenith for the wavelength range of X-shooter. These are the most likely, optimal aerosol extinction curves for each run discussed in Sect. 5.2. For Run A, an alternate optimal curve (dashed) is also shown, which is the same calculation but excluding the 90 and 110° observations. The default curve is the one currently used in the ESO sky background model. Lastly, the uniform probability curve is derived with Eq. (6) but with all Li = 1. Bottom panel: relative error (1στ/τ). The values and errors for the extinction curves are also given in Table 5.

Current usage metrics show cumulative count of Article Views (full-text article views including HTML views, PDF and ePub downloads, according to the available data) and Abstracts Views on Vision4Press platform.

Data correspond to usage on the plateform after 2015. The current usage metrics is available 48-96 hours after online publication and is updated daily on week days.

Initial download of the metrics may take a while.