Free Access

Fig. 9.

image

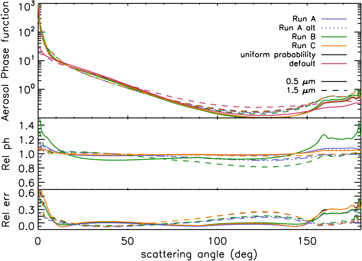
Top panel: aerosol phase function as a function of scattering angle for the most likely models at two different wavelengths, 0.5 and 1.5 μm. For Run A, alternate optimal functions (dotted and dashed-dotted) are also shown, which are the same calculations but excluding the 90 and 110° observations for both wavelengths. Also shown is the phase function used in the current sky background model (default) and with uniform probability Li = 1 in Eq. (6). For clarity, the middle panel shows the three runs relative to the uniform probability phase function. Bottom panel: relative error σx/< x > from Eq. (6).

Current usage metrics show cumulative count of Article Views (full-text article views including HTML views, PDF and ePub downloads, according to the available data) and Abstracts Views on Vision4Press platform.

Data correspond to usage on the plateform after 2015. The current usage metrics is available 48-96 hours after online publication and is updated daily on week days.

Initial download of the metrics may take a while.