Free Access

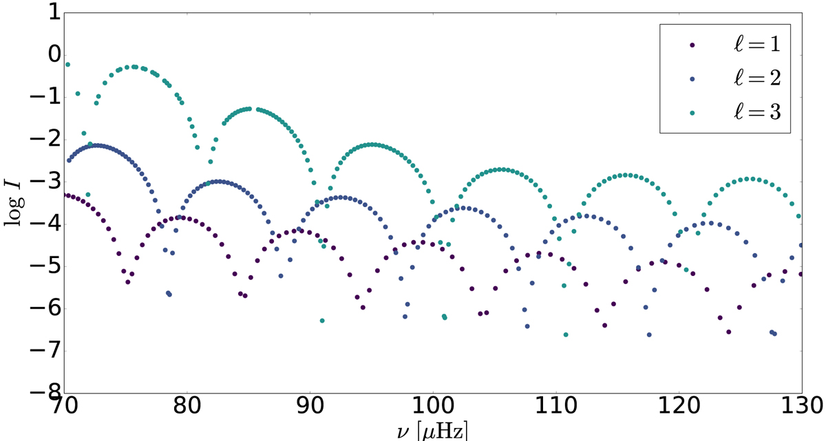
Fig. C.1.

image

Variation of the normalised mode inertia values for each frequency output by GYRE for a star with νmax ∼ 100 μHz. The ℓ = 1, 2 and 3 modes are colour-coded as displayed the legend. It should be noted that the local minima in mode inertia in intervals of Δν, and the general decreasing trend of mode inertia with frequency.

Current usage metrics show cumulative count of Article Views (full-text article views including HTML views, PDF and ePub downloads, according to the available data) and Abstracts Views on Vision4Press platform.

Data correspond to usage on the plateform after 2015. The current usage metrics is available 48-96 hours after online publication and is updated daily on week days.

Initial download of the metrics may take a while.