Free Access

Fig. D.2.

image

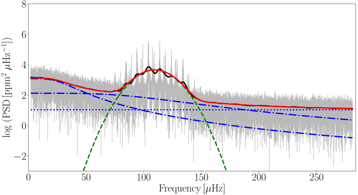
Example of a single-RG PSD fit where the light curve contains both the pulsational and granulation signals of the RG. The grey, black, red, green and blue lines represent the same signals as in Fig. D.1, with the addition of blue dash-dotted lines to represent the super-Lorentzians.

Current usage metrics show cumulative count of Article Views (full-text article views including HTML views, PDF and ePub downloads, according to the available data) and Abstracts Views on Vision4Press platform.

Data correspond to usage on the plateform after 2015. The current usage metrics is available 48-96 hours after online publication and is updated daily on week days.

Initial download of the metrics may take a while.