Free Access

Fig. 6.

image

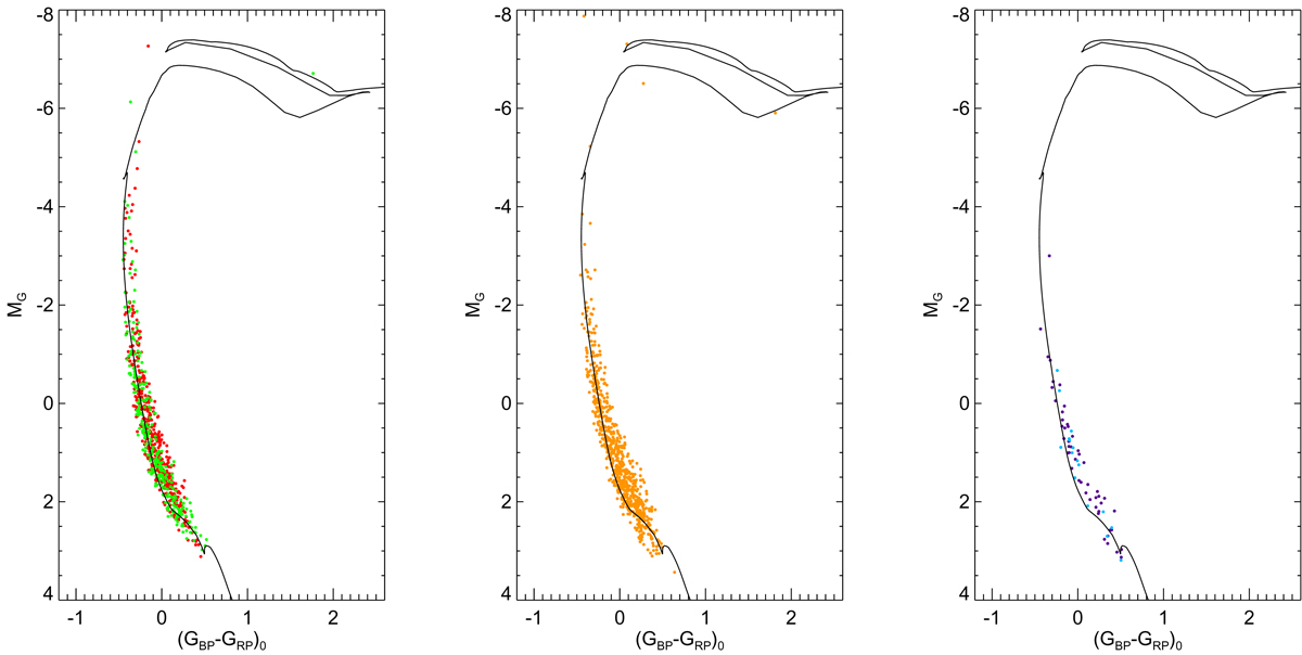
Dereddened MG vs. (GBP − GRP)0 CMD for three major components labeled by the DBSCAN. Colors are the same as in Fig. 5. The Padova isochrone of 14 Myr is overlaid on the CMDs of three major components.

Current usage metrics show cumulative count of Article Views (full-text article views including HTML views, PDF and ePub downloads, according to the available data) and Abstracts Views on Vision4Press platform.

Data correspond to usage on the plateform after 2015. The current usage metrics is available 48-96 hours after online publication and is updated daily on week days.

Initial download of the metrics may take a while.