Free Access

Fig. 13.

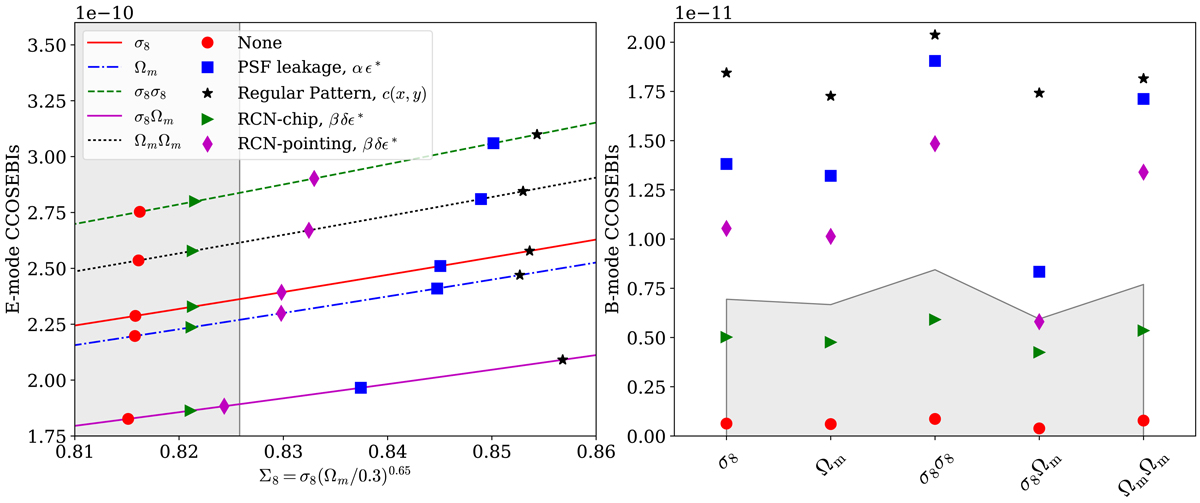
image

Left panel: inferred values of Σ8 = σ8m/0.3)0.65 from an E-mode CCOSEBIs analysis of four mock cosmic shear surveys that suffer from PSF leakage (blue squares), a repeating additive pattern (black stars), and random but correlated noise on chip (green triangles) and pointing (magenta diamond) scales. The curves show the theoretical values of the 5 E-mode CCOSEBIs when varying Σ8, calculated using the KiDS-450 noise only covariance matrix and redshift distribution; Eσ8σ8 (dashed), EΩmΩm (dotted), Eσ8 (middle solid), EΩm (dot-dashed) and Eσ8Ωm (lower solid). The inferred cosmology for each mock systematic survey can be compared between the 5 different modes. The higher the recovered E-mode is relative to the fiducial “no-systematics case” (circles), the stronger the bias is on the inferred value of Σ8 and the more discrepant the inferred cosmology is between the different CCOSEBIs modes. The bias in Σ8 can be compared to the grey region which shows the one-sigma error for Σ8 from the KiDS-450 cosmic shear analysis, centred on the fiducial case. Right panel:B-mode CCOSEBIs from the four mock cosmic shear surveys. The measured B-mode signal, which does not depend on Σ8, can be compared to the shape noise on a KiDS-450-like survey (shown in grey).

Current usage metrics show cumulative count of Article Views (full-text article views including HTML views, PDF and ePub downloads, according to the available data) and Abstracts Views on Vision4Press platform.

Data correspond to usage on the plateform after 2015. The current usage metrics is available 48-96 hours after online publication and is updated daily on week days.

Initial download of the metrics may take a while.