Free Access

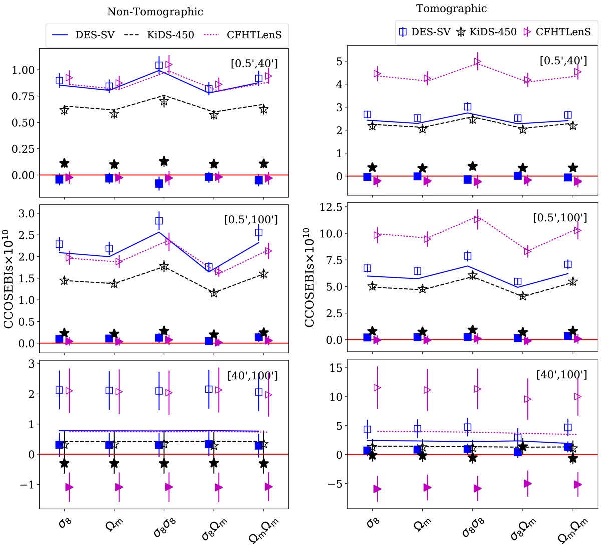
Fig. 4.

image

CCOSEBIs E and B-modes for non-tomographic (left) and tomographic (right) analyses. The E-modes are shown as empty symbols, with the B-modes shown as filled symbols, for DES-SV (blue squares), KiDS-450 (black stars) and CFHTLenS (magenta triangles). The analysis is conducted over three different angular ranges, denoted in the upper right corner of each panel. The CCOSEBIs mode is indicated on the horizontal-axis. E-mode predictions are calculated using the best fitting cosmological parameter values given in Table 1 for DES-SV (solid), KiDS-450 (dashed) and CFHTLenS (dotted). A zero-line is also shown for reference.

Current usage metrics show cumulative count of Article Views (full-text article views including HTML views, PDF and ePub downloads, according to the available data) and Abstracts Views on Vision4Press platform.

Data correspond to usage on the plateform after 2015. The current usage metrics is available 48-96 hours after online publication and is updated daily on week days.

Initial download of the metrics may take a while.