Free Access

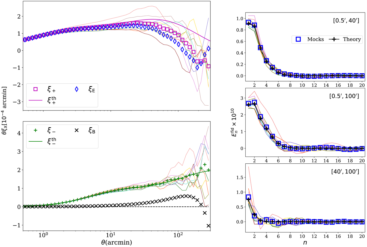
Fig. 8.

image

SLICS 2-point statistics, ξ± and ξE/B (left) and E-mode COSEBIs (right), averaged over 10 noise-free lines-of-sight, which serves as our fiducial “systematics-free” measurement. The mean result can be compared to the theoretical expectation (smooth solid curves). For ξ± and COSEBIs we also show the measurements for each individual line-of-sight with thin solid curves with matching colors between different panels. The upper left panel shows the measured ξ+ (magenta squares) and ξE (blue diamonds), with the lower left panel showing ξ (green pluses) and ξB (black crosses). The expectation value for ξB is zero, shown with the dashed black line. The COSEBIs E-modes (right panels) are shown for the three angular ranges indicated in each row. The COSEBIs B-modes in SLICS are 4 orders of magnitude smaller than the E-modes and are therefore not shown. The measurements are shown as squares and their expected theory value as plus symbols. Note that COSEBIs modes are discrete and the points are only connected together as a visual aid.

Current usage metrics show cumulative count of Article Views (full-text article views including HTML views, PDF and ePub downloads, according to the available data) and Abstracts Views on Vision4Press platform.

Data correspond to usage on the plateform after 2015. The current usage metrics is available 48-96 hours after online publication and is updated daily on week days.

Initial download of the metrics may take a while.