Open Access

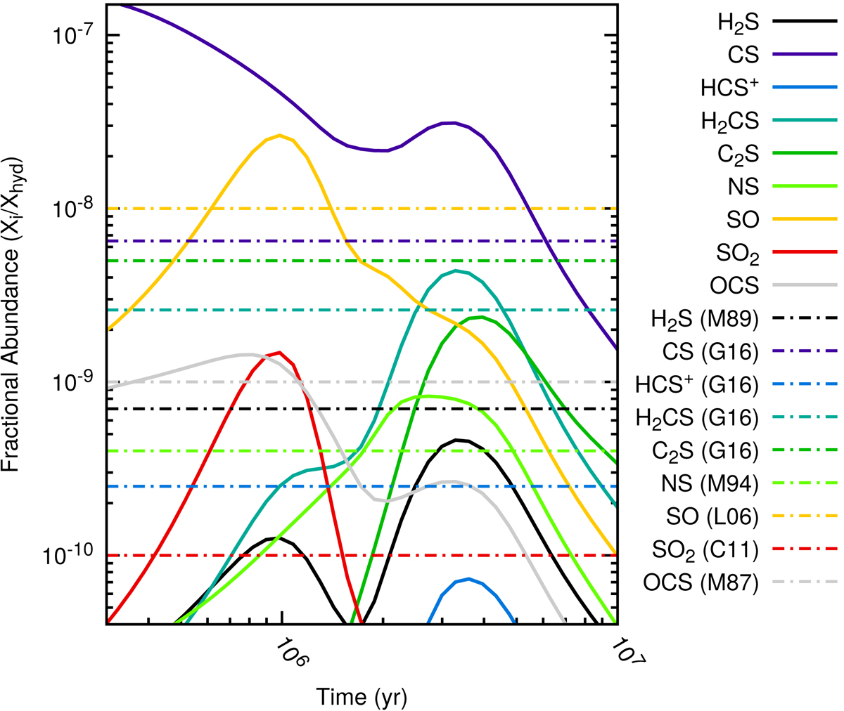
Fig. 6.

image

Comparison of model (solid curves) vs. observations (dashed lines) for a dense cloud environment. The observed values all pertain to the cold, dark cloud TMC-1 (∼104 cm−3), from the following references: (C11; Cernicharo et al. 2011); (G16; Gratier et al. 2016); (L06; Leurini et al. 2006); (M87; Matthews et al. 1987); (M89; Minh et al. 1989); (M94; McGonagle et al. 1994). See text for more details.

Current usage metrics show cumulative count of Article Views (full-text article views including HTML views, PDF and ePub downloads, according to the available data) and Abstracts Views on Vision4Press platform.

Data correspond to usage on the plateform after 2015. The current usage metrics is available 48-96 hours after online publication and is updated daily on week days.

Initial download of the metrics may take a while.