Free Access

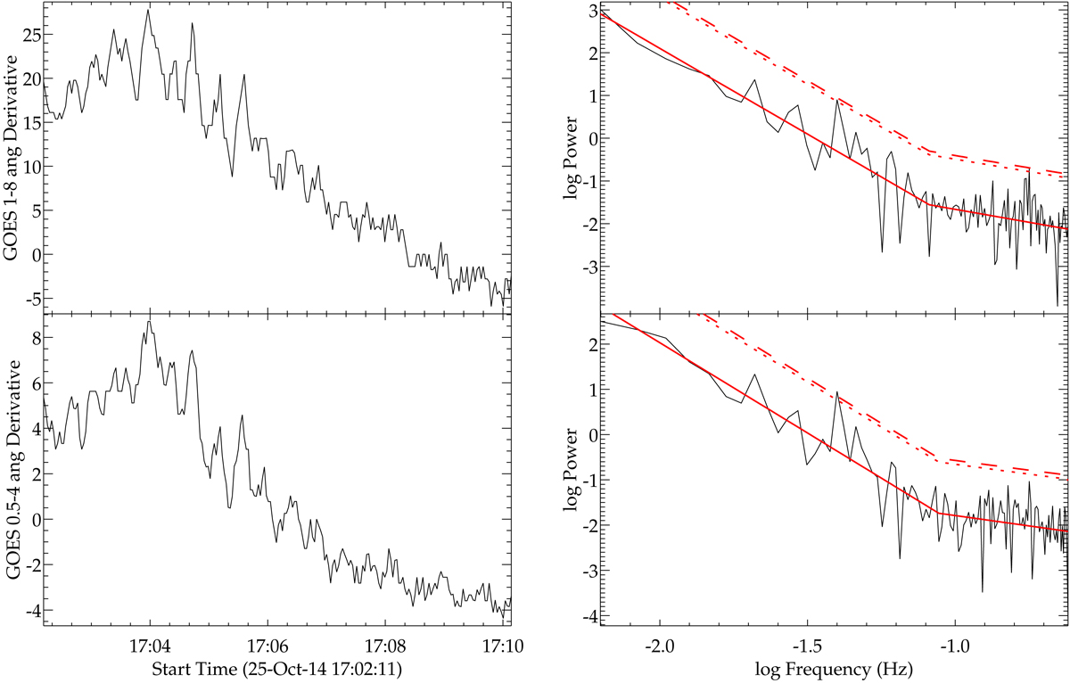
Fig. 1.

image

Left: time derivatives of a section of flare 092 (see Table 1) observed by GOES/XRS. The top panel shows the 1–8 Å emission and the bottom panel the 0.5–4 Å emission. Right: corresponding power spectra, where the red solid lines are broken power-law fits to the spectra, the red dotted lines represent the 95% confidence levels, and the red dashed lines the 99% levels. There is a significant peak in both power spectra at a period of .

Current usage metrics show cumulative count of Article Views (full-text article views including HTML views, PDF and ePub downloads, according to the available data) and Abstracts Views on Vision4Press platform.

Data correspond to usage on the plateform after 2015. The current usage metrics is available 48-96 hours after online publication and is updated daily on week days.

Initial download of the metrics may take a while.