Free Access

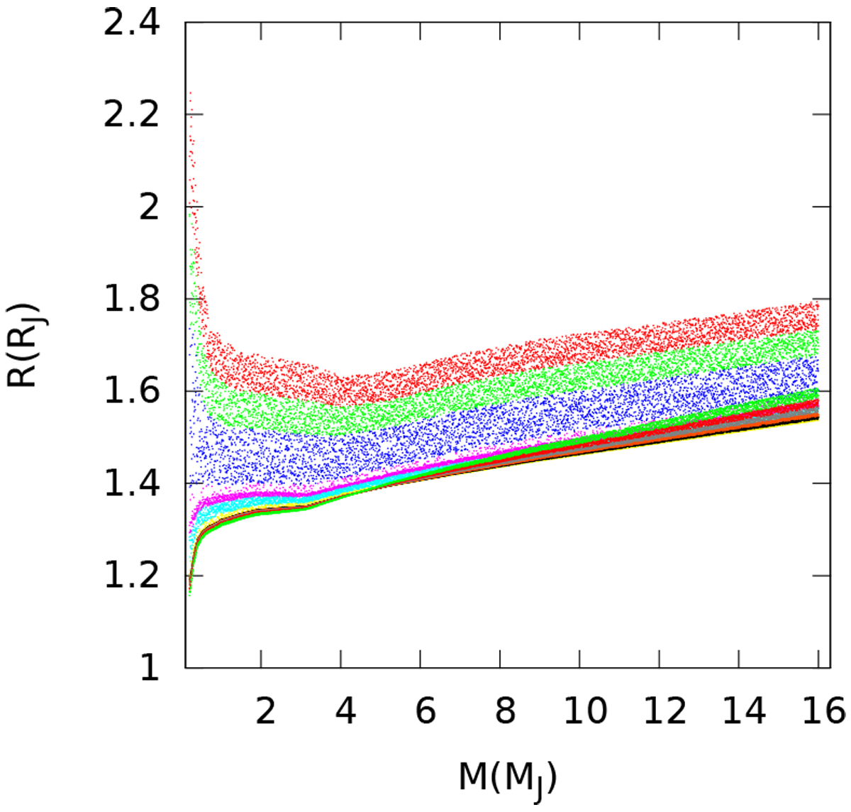
Fig. 1

image

InitialMPRP distribution at 10 Myr according to Fortney et al. (2007) for a sample of planets. Different orbital periods are shown in different colours. The periods bin are 0.8–2, 2–3.4, 3.4–5.9, 5.9–10, 10–17, 17–29, 29–50, 50–87, 87–145, 145–245, and 245–418 days. Periods grow from the upper to lower parts of the diagram.

Current usage metrics show cumulative count of Article Views (full-text article views including HTML views, PDF and ePub downloads, according to the available data) and Abstracts Views on Vision4Press platform.

Data correspond to usage on the plateform after 2015. The current usage metrics is available 48-96 hours after online publication and is updated daily on week days.

Initial download of the metrics may take a while.