Free Access

Fig. 11

image

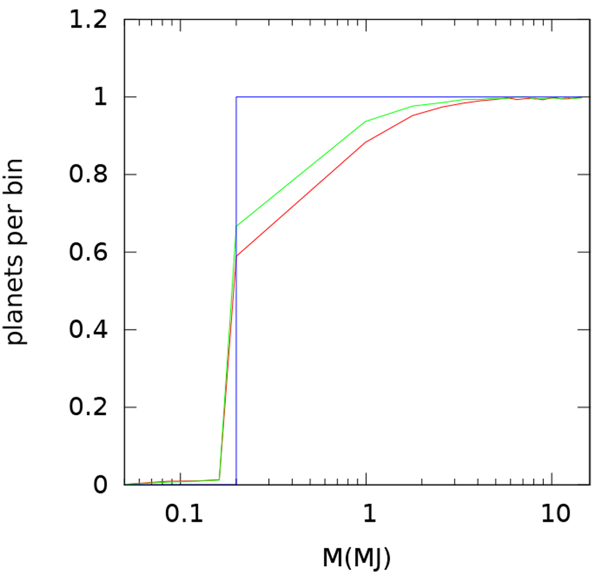
Number of planets per mass bin for a sample of planets of different ages, forming at a constant (in time) birth rate (see text). The initial flat mass distribution is reported as a blue line. Red line: planets around dG stars; green line: planets around dM stars. All the planets are in the first period bin (0.8–2 days).

Current usage metrics show cumulative count of Article Views (full-text article views including HTML views, PDF and ePub downloads, according to the available data) and Abstracts Views on Vision4Press platform.

Data correspond to usage on the plateform after 2015. The current usage metrics is available 48-96 hours after online publication and is updated daily on week days.

Initial download of the metrics may take a while.