Free Access

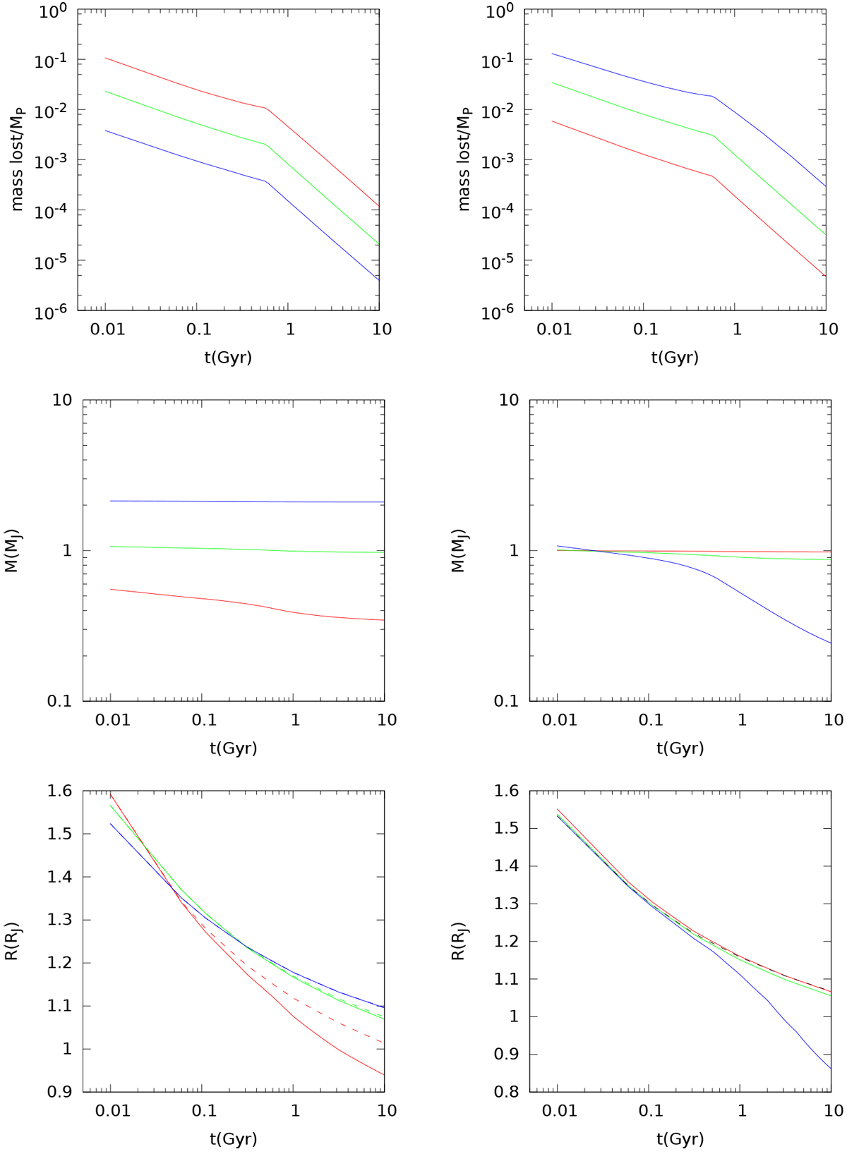
Fig. 7

image

Evolving mass loss (top panels), mass (middle panels) and radius (bottom panels). Left panels: case of three planets of different masses, MP = 0.55 (red line), 1 (green line), and 2 MJ (blue line), subjected to identical irradiation FXUV = 1.1 × 106 erg cm−2 s−1. Right panels: the planetary mass is taken constant to MP = 1 MJ, while the initial X-ray luminosity is varied, (red line), 3 × 1029 (green line), 1.6 × 1030 erg s−1 (blue line). The dashed lines in the bottom left panel indicate the temporal evolution of the planetary size without evaporation (i.e. just considering gravitational shrink). Bottom right panel: the black dashed line marks the temporal evolution of the planetary radius due to gravitational contraction. Top labels indicate the initial X-ray luminosity (left panels), andplanetary mass (right panels).

Current usage metrics show cumulative count of Article Views (full-text article views including HTML views, PDF and ePub downloads, according to the available data) and Abstracts Views on Vision4Press platform.

Data correspond to usage on the plateform after 2015. The current usage metrics is available 48-96 hours after online publication and is updated daily on week days.

Initial download of the metrics may take a while.