Free Access

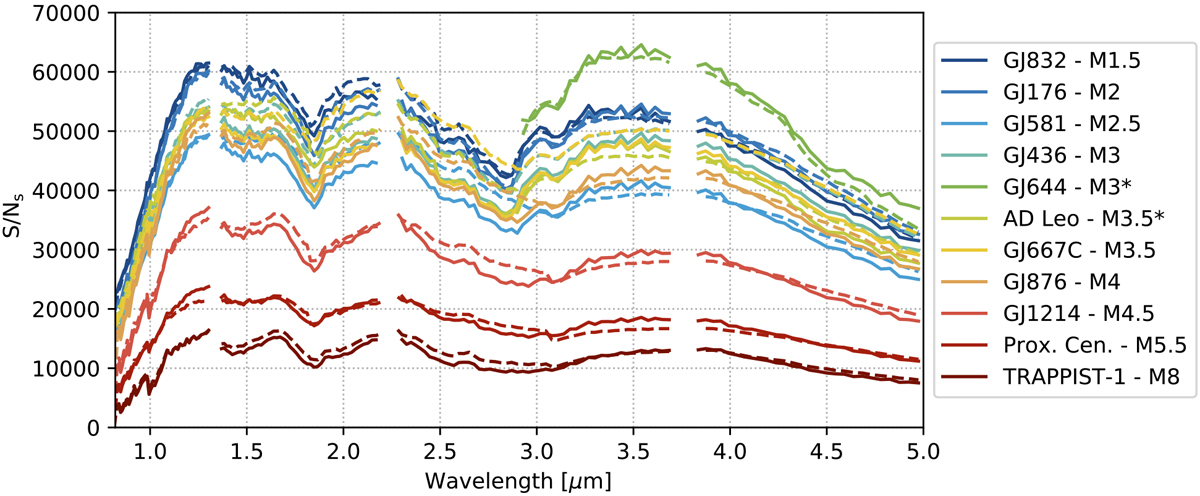
Fig. 5

image

Stellar S/N ratio over 1 h integration time of each M dwarf at 10 pc, binned to a resolution of 100. All NIRSpec filters and high resolution disperser are combined. Solid lines are calculated using the method described in Sect. 2.5 and dashed lines are calculated using the JWST ETC, Pandeia (Pontoppidan et al. 2016).

Current usage metrics show cumulative count of Article Views (full-text article views including HTML views, PDF and ePub downloads, according to the available data) and Abstracts Views on Vision4Press platform.

Data correspond to usage on the plateform after 2015. The current usage metrics is available 48-96 hours after online publication and is updated daily on week days.

Initial download of the metrics may take a while.