Free Access

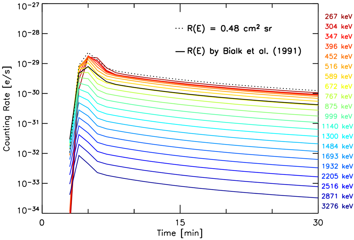
Fig. 4.

image

Mono-energetic Green’s functions from 0.25 MeV to 3.5 MeV (coloured curves) assuming an instantaneous release at the Sun at t = 0 and assuming a spectral index of γ = 3.5, a radial mean free path of λr = 0.14 AU and taking into account the energy response of E03. The black curve shows the Green’s function of the channel (in units of counts s−1) assuming the energy response computed by Bialk et al. (1991). The dotted curve shows the Green’s function of the nominal energy channel assuming a geometric factor of 0.48 cm2 sr.

Current usage metrics show cumulative count of Article Views (full-text article views including HTML views, PDF and ePub downloads, according to the available data) and Abstracts Views on Vision4Press platform.

Data correspond to usage on the plateform after 2015. The current usage metrics is available 48-96 hours after online publication and is updated daily on week days.

Initial download of the metrics may take a while.