Free Access

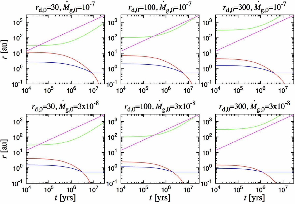
Fig. 1

image

Time evolution of the transition radius rvis/irr (Eq. (5); red lines), snowline rsnow = max(rsnow,vis, rsnow,irr) (Eqs. (6) and (7); blue lines), disk characteristic radius (green lines), and pebble formation front rpff (Eq. (36); magenta lines) for various disk evolution parameters. The parameters, rd,0 in units of auand g,0 in units of M yr−1 are labeled in the individual panels. The other parameters are the same for the four panels, i.e., pe =10−9 M yr−1 and tdiff = 106 yr.

Current usage metrics show cumulative count of Article Views (full-text article views including HTML views, PDF and ePub downloads, according to the available data) and Abstracts Views on Vision4Press platform.

Data correspond to usage on the plateform after 2015. The current usage metrics is available 48-96 hours after online publication and is updated daily on week days.

Initial download of the metrics may take a while.