Free Access

Fig. 10

image

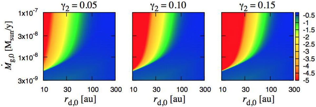
Analytical estimate of fwater at 1 au as a function of the initial disk radius (rd,0) and the initial disk accretion rate (g,0), where γ2 = 0.05, 0.10, and 0.15. The other parameters are St = 0.1, Mpl,0 = 1M, , and tdiff = 3 × 106 yr. The color scales are log10fwater.

Current usage metrics show cumulative count of Article Views (full-text article views including HTML views, PDF and ePub downloads, according to the available data) and Abstracts Views on Vision4Press platform.

Data correspond to usage on the plateform after 2015. The current usage metrics is available 48-96 hours after online publication and is updated daily on week days.

Initial download of the metrics may take a while.