Free Access

Fig. 13

image

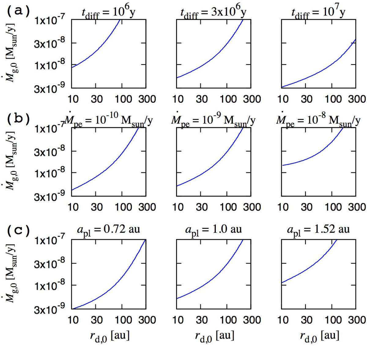
Condition of tsnow = 10 tpff as a functionof rd,0 and g,0. Panels a: dependence on the disk diffusion timescale tdiff. Panels b: photoevaporation rate (pe). Panels c: planetary orbital radius (apl). The right regions from the curves represent water-rich regions (fwater ~ 1∕2). In the panelsa, we used pe = 10−9M yr−1 and apl= 1 au, tdiff = 3 × 106 yr and apl= 1 au in the panelsb, and pe = 10−9M yr−1 and tdiff = 3 × 106 yr in the panels c.

Current usage metrics show cumulative count of Article Views (full-text article views including HTML views, PDF and ePub downloads, according to the available data) and Abstracts Views on Vision4Press platform.

Data correspond to usage on the plateform after 2015. The current usage metrics is available 48-96 hours after online publication and is updated daily on week days.

Initial download of the metrics may take a while.