Free Access

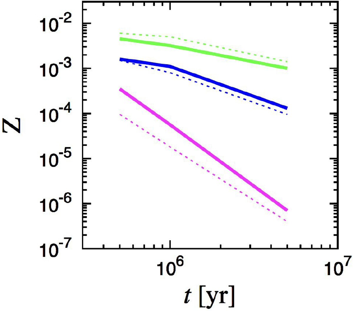
Fig. 2

image

Time evolution of Z = Σp∕Σg obtained by the numerical simulation with g,0 = 10−7M yr−1, pe =10−9M yr−1, and tdiff = 106 yr. The magenta, blue, and green solid lines show Z obtained at rd,0 by the numerical results of with rd,0 = 30, 100 and 300 au. The dashed lines indicate gradients for individual cases given by Eqs. (37) and (38), where the absolute values of Z are arbitrary.

Current usage metrics show cumulative count of Article Views (full-text article views including HTML views, PDF and ePub downloads, according to the available data) and Abstracts Views on Vision4Press platform.

Data correspond to usage on the plateform after 2015. The current usage metrics is available 48-96 hours after online publication and is updated daily on week days.

Initial download of the metrics may take a while.