Free Access

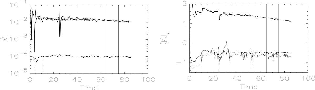
Fig. 1.

image

Fluxes for the case with Ω = 0.1Ωbr, B = 0.5 kG, and αm = 1. Left panel: mass flux across the disk at R = 12R (solid line), onto the star (dotted line) and into the stellar wind (dashed line) in units of . Right panel: angular momentum flux of the matter in-falling onto the star from the distances below (solid line) and beyond (dashed line) the corotation radius and in the stellar wind (dotted line) in units of stellar angular momentum. Vertical solid lines mark the interval in time in which an average is taken to compute the quasi-stationary state.

Current usage metrics show cumulative count of Article Views (full-text article views including HTML views, PDF and ePub downloads, according to the available data) and Abstracts Views on Vision4Press platform.

Data correspond to usage on the plateform after 2015. The current usage metrics is available 48-96 hours after online publication and is updated daily on week days.

Initial download of the metrics may take a while.