Free Access

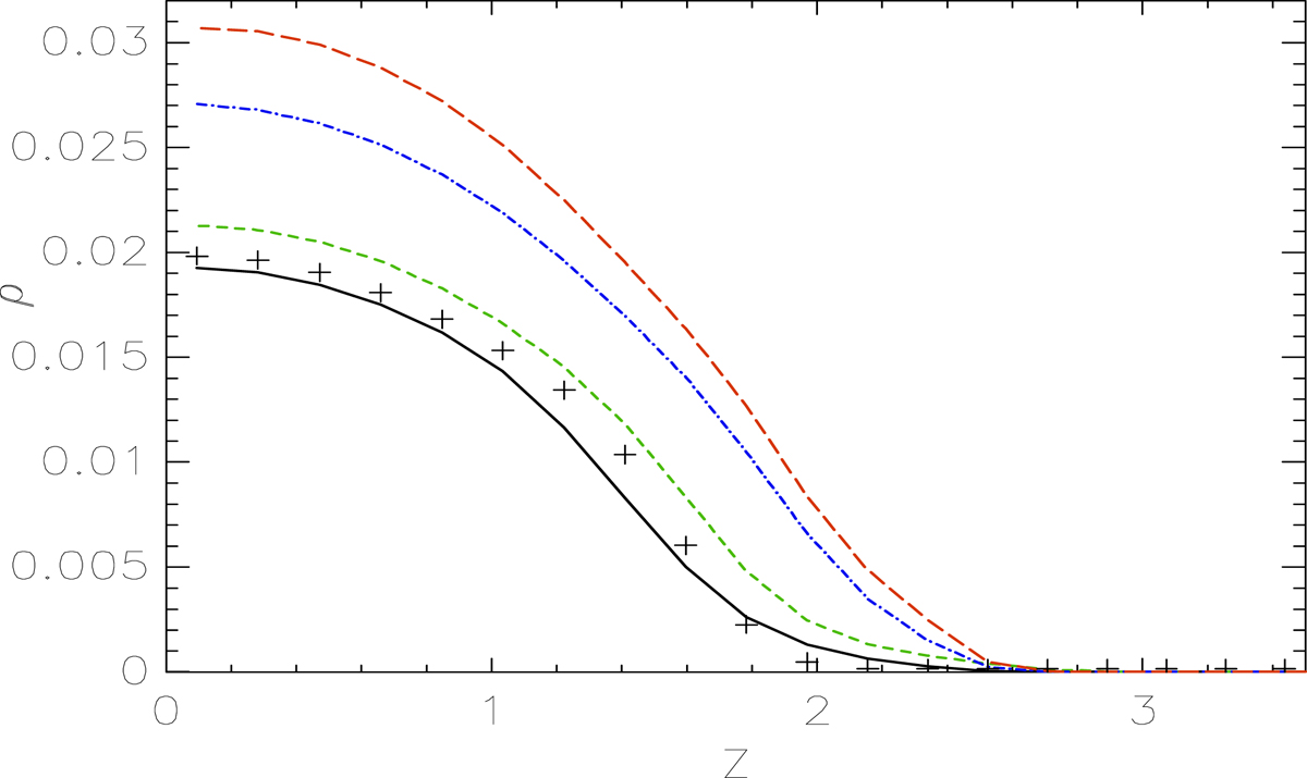
Fig. 3.

image

Disk density in the simulations with Ω = 0.2Ωbr and αm = 1, measured along the disk height at R = 12R. Results for B = 0.25 (solid black line), 0.5 (short dashed green line), 0.75 (dash-dotted blue line) and 1 kG (long dashed red line) are shown. There is a trend in density with increasing stellar field. The result in the simulations without a magnetic field is shown with pluses.

Current usage metrics show cumulative count of Article Views (full-text article views including HTML views, PDF and ePub downloads, according to the available data) and Abstracts Views on Vision4Press platform.

Data correspond to usage on the plateform after 2015. The current usage metrics is available 48-96 hours after online publication and is updated daily on week days.

Initial download of the metrics may take a while.