Free Access

Fig. A.4

image

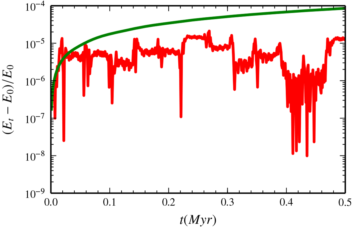
Total energy error as a function of time for a validation simulation consisting of a single star orbiting a system of 5 planets. The energy error of our method (in red) is compared to the results obtained using a 4th order Hermite code for all particles (green). The time evolution of the energy error is more erratic in the Nemesis method because of the close interactions of the orbiting star. The overall error, however, remains rather constant over a long timescale, whereas for the Hermite method the energy error is smoother but clearly grows with time.

Current usage metrics show cumulative count of Article Views (full-text article views including HTML views, PDF and ePub downloads, according to the available data) and Abstracts Views on Vision4Press platform.

Data correspond to usage on the plateform after 2015. The current usage metrics is available 48-96 hours after online publication and is updated daily on week days.

Initial download of the metrics may take a while.