Free Access

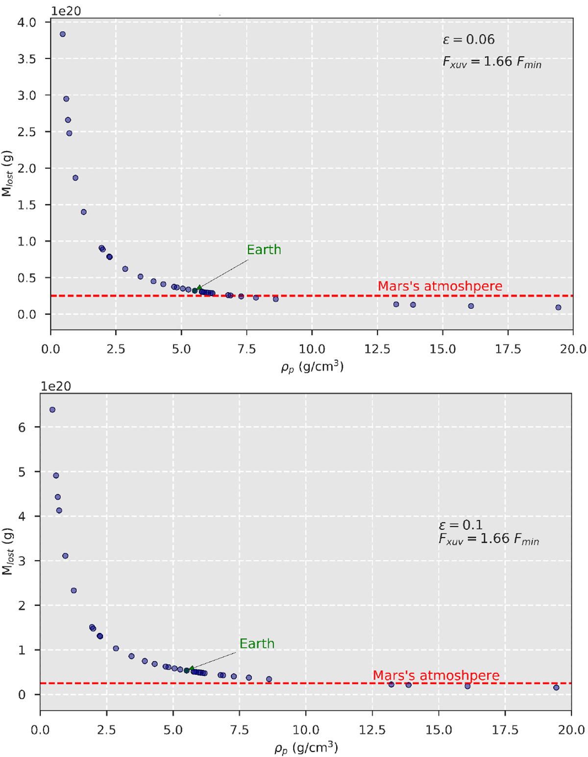
Fig. 9

image

Top: total mass lost vs. EP density over a period of 50 Myrs of irradiation by 107 220 AGNs, up toz = 0.5. The FXUV arriving at the MW amounts to ~166% of the Fmin, with the corresponding efficiency of ɛ = 0.06. The densest planets in the sample are not shown in the graph for clarity. The red, horizontalline indicates the mass of atmosphere of Mars. Bottom: same as top, but with ɛ = 0.1.

Current usage metrics show cumulative count of Article Views (full-text article views including HTML views, PDF and ePub downloads, according to the available data) and Abstracts Views on Vision4Press platform.

Data correspond to usage on the plateform after 2015. The current usage metrics is available 48-96 hours after online publication and is updated daily on week days.

Initial download of the metrics may take a while.