Free Access

Fig. D.1

image

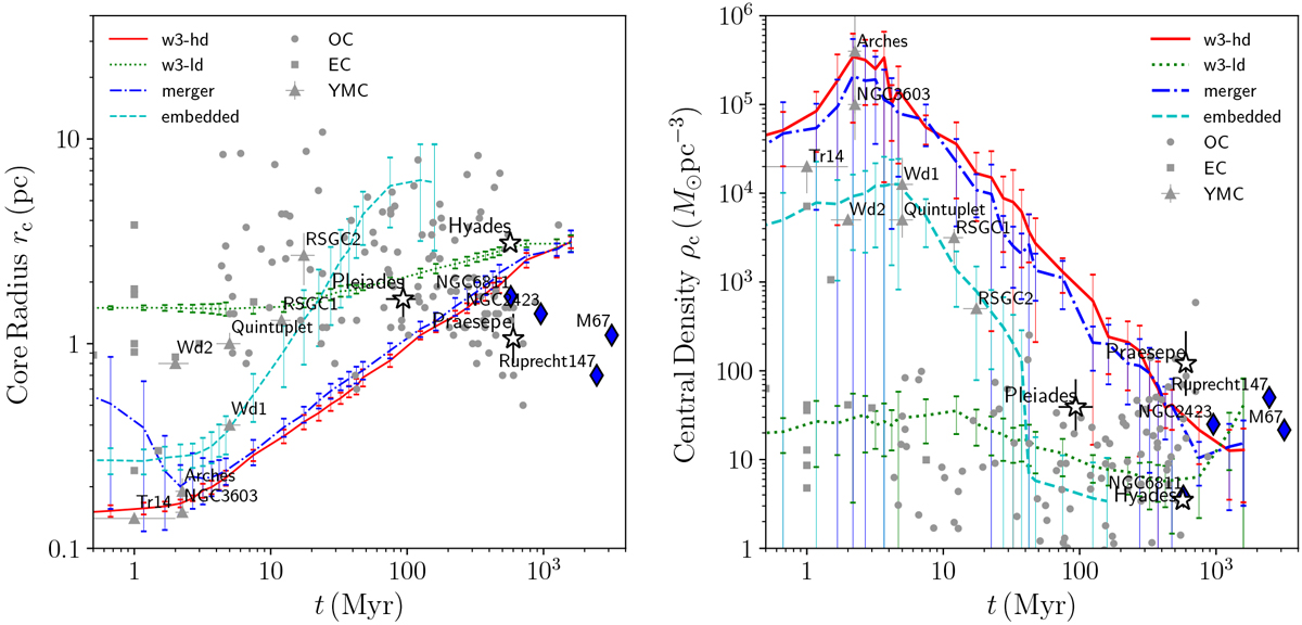
Time evolution of the core radius (rc) and central density (ρc) for our cluster models. The central density and core radius are averaged over 0.5, 5, 50, and 500 Myr for t < 5 Myr, 5 Myr < t < 50 Myr, 50 Myr < t < 500 Myr, and t > 500 Myr, respectively. The error bars show the run-to-run variations. Each symbol indicates known star clusters near the Solar System: the present-day Pleiades, Praesepe, and Hyades, the other planet-hosting clusters (diamonds: Piskunov et al. 2007), open clusters (OC) with mass of 102 < M < 103 M (circles: Piskunov et al. 2007), embedded clusters (EC; squares: Lada & Lada 2003; Figer 2008; Pfalzner 2009), and youngmassive clusters (YMC; triangles: Portegies Zwart et al. 2010). Following Pfalzner (2009), we use for observed open clusters. We use the average separation from the cluster center given in Figer (2008) as rc because the two values are comparable (Portegies Zwart et al. 2010). For embedded clusters, we consider the observed radii as their cluster sizes. We therefore adopt the half-mass radius as the radius for our embedded cluster model.

Current usage metrics show cumulative count of Article Views (full-text article views including HTML views, PDF and ePub downloads, according to the available data) and Abstracts Views on Vision4Press platform.

Data correspond to usage on the plateform after 2015. The current usage metrics is available 48-96 hours after online publication and is updated daily on week days.

Initial download of the metrics may take a while.