Free Access

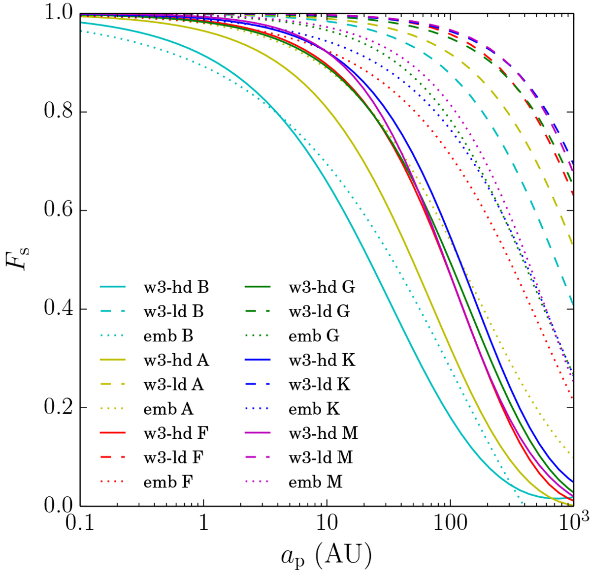
Fig. 5

image

Survival fraction of planets around each spectral type of star as a function of ap (Fs = 1 − f(ap); see Eq. (10)) for w3-hd and w3-ld models at t = 600 Myr and the embedded cluster model at t = 170 Myr.

Current usage metrics show cumulative count of Article Views (full-text article views including HTML views, PDF and ePub downloads, according to the available data) and Abstracts Views on Vision4Press platform.

Data correspond to usage on the plateform after 2015. The current usage metrics is available 48-96 hours after online publication and is updated daily on week days.

Initial download of the metrics may take a while.