Free Access

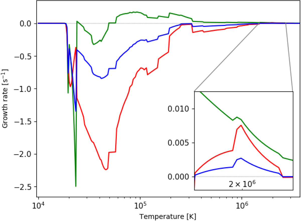
Fig. 2.

image

Solutions to the dispersion relation (32) for the values in Table 1 as a function of temperature. The imaginary component of the wave frequency (the growth rate) is shown. Green, red and blue denote the thermal, slow and fast mode growth rates, respectively. The thermal, slow and fast growth rates were multiplied by a factor 10, 100 and 1000, respectively. Inset: a zoom-in near 2 million Kelvin, where the fast and slow wave modes become overstable for our adopted parameters.

Current usage metrics show cumulative count of Article Views (full-text article views including HTML views, PDF and ePub downloads, according to the available data) and Abstracts Views on Vision4Press platform.

Data correspond to usage on the plateform after 2015. The current usage metrics is available 48-96 hours after online publication and is updated daily on week days.

Initial download of the metrics may take a while.