Free Access

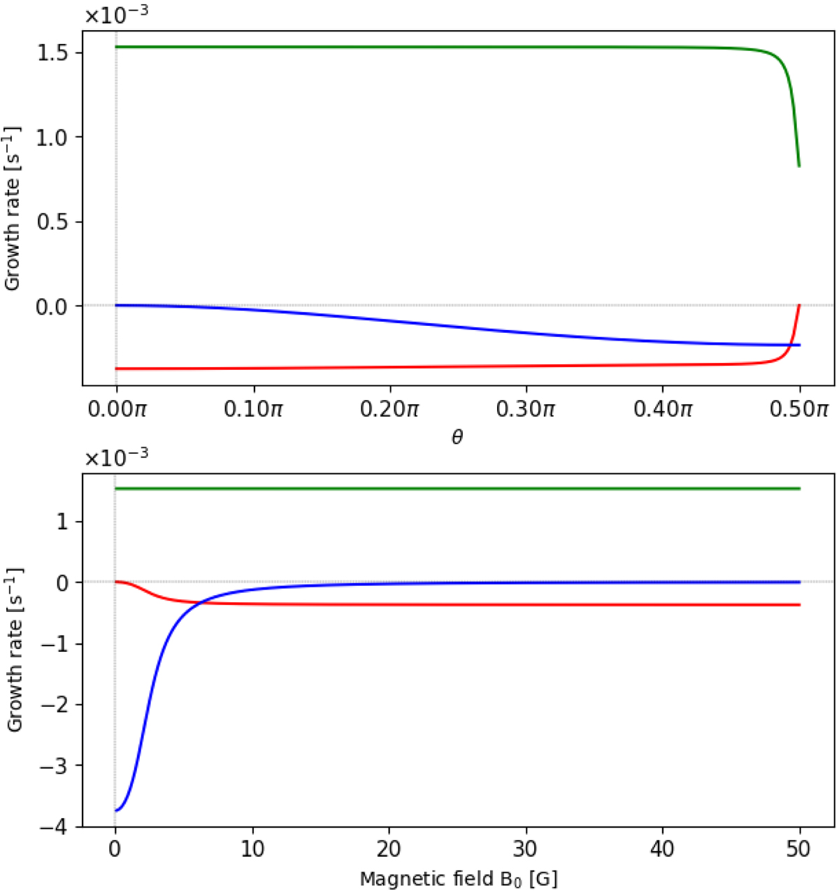
Fig. 3.

image

Growth rates of the fast (blue), thermal (green) and slow (red) wave modes as a function of the angle θ (top panel) and versus magnetic field strength (bottom panel). The growth rate of the fast mode was multiplied by 10 in both panels for visual clarity.

Current usage metrics show cumulative count of Article Views (full-text article views including HTML views, PDF and ePub downloads, according to the available data) and Abstracts Views on Vision4Press platform.

Data correspond to usage on the plateform after 2015. The current usage metrics is available 48-96 hours after online publication and is updated daily on week days.

Initial download of the metrics may take a while.