Free Access

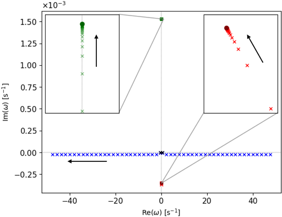
Fig. 4.

image

Complex eigenvalue plane for a homogeneous bounded medium with physical parameters taken as in Table 1. The blue, red, and green crosses denote the fast, slow, and thermal mode solutions, respectively, for k = nπ/L. The number of nodes n takes on 25 equally spaced values in the interval [0, 250]. Left inset: zoom-in near the thermal mode sequence. The growth rates become more unstable when n increases. Right inset: zoom-in near the slow mode sequence, for positive real values of ω, becoming more damped for increasing n. The solid dots denote the accumulation points.

Current usage metrics show cumulative count of Article Views (full-text article views including HTML views, PDF and ePub downloads, according to the available data) and Abstracts Views on Vision4Press platform.

Data correspond to usage on the plateform after 2015. The current usage metrics is available 48-96 hours after online publication and is updated daily on week days.

Initial download of the metrics may take a while.