Free Access

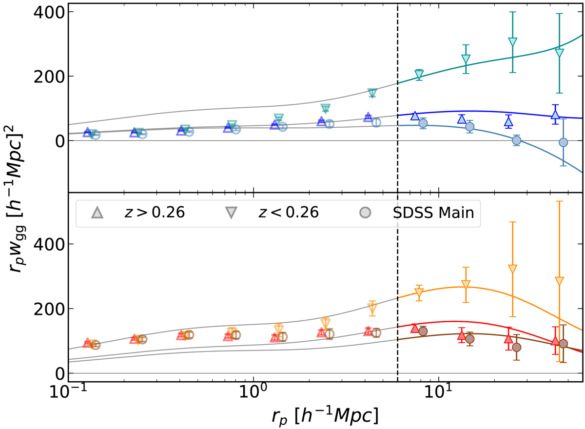
Fig. 2.

image

Measured galaxy clustering for our blue (top panel) and red (bottom panel) galaxy samples. Solid curves illustrate the best-fit linear clustering per sample (Eq. (19)). The vertical dashed line indicates rp = 6 h−1 Mpc, below which scales are excluded from fitting (Sect. 3.3).

Current usage metrics show cumulative count of Article Views (full-text article views including HTML views, PDF and ePub downloads, according to the available data) and Abstracts Views on Vision4Press platform.

Data correspond to usage on the plateform after 2015. The current usage metrics is available 48-96 hours after online publication and is updated daily on week days.

Initial download of the metrics may take a while.