Open Access

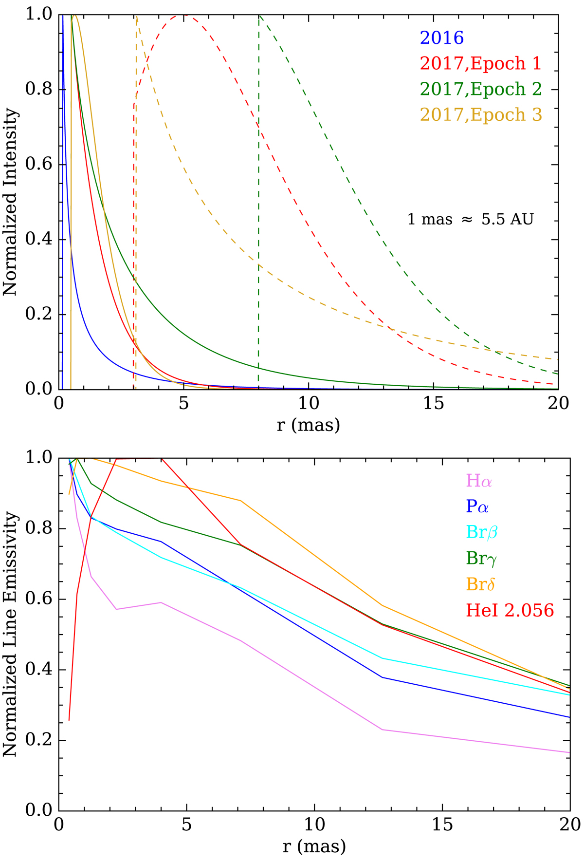
Fig. 5.

image

Top: collection of optical jet radial emission profiles for all GRAVITY observations. These were derived from the available jet emission lines in the K band spectrum (Brγ, Brδ, and He I 2.06 μm in the 2016 observation, and Paα and Brβ in the 2017 observations). There are two classes of profiles: compact (solid lines), associated with recent or current knots and which peak close to the central binary, and extended (dashed lines), associated with older knots. Bottom: emission profiles for selected emission lines calculated from a Cloudy photoionization model using the best-fit parameters to the emission line fluxes from Epoch X1 of the X-shooter observations. The elongated profiles resolved by GRAVITY suggest photoionization by the collimated radiation as the heating mechanism. The steeper profiles measured by GRAVITY relative to the Cloudy model could be explained by screening effects due to the large area covering factor of the bullets in the jets.

Current usage metrics show cumulative count of Article Views (full-text article views including HTML views, PDF and ePub downloads, according to the available data) and Abstracts Views on Vision4Press platform.

Data correspond to usage on the plateform after 2015. The current usage metrics is available 48-96 hours after online publication and is updated daily on week days.

Initial download of the metrics may take a while.