Free Access

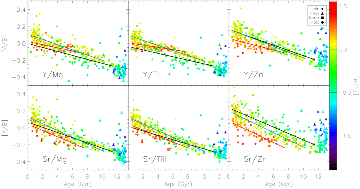
Fig. 11

image

Download original image

Some of the chemical clocks studied as a function of age with the metallicities in color scale. The weighted linear fits are the same as in Fig. 9.

Current usage metrics show cumulative count of Article Views (full-text article views including HTML views, PDF and ePub downloads, according to the available data) and Abstracts Views on Vision4Press platform.

Data correspond to usage on the plateform after 2015. The current usage metrics is available 48-96 hours after online publication and is updated daily on week days.

Initial download of the metrics may take a while.