Free Access

Fig. 13

image

Download original image

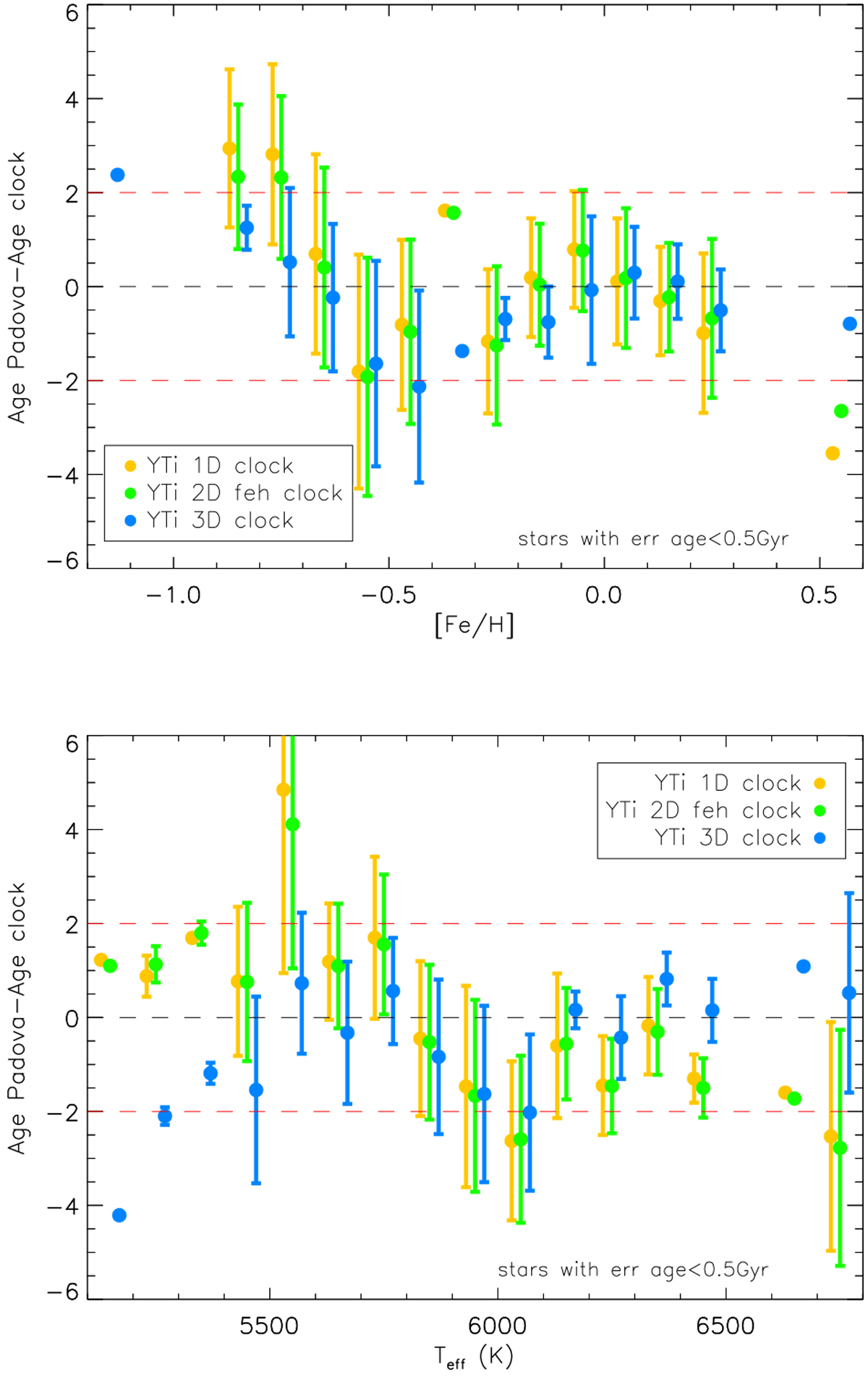
Comparison of the [Y/TiII] 1D, 2D (using [Fe/H]) and 3D clocks with the Padova ages for a small sample of stars with error in age lower than 0.5 Gyr. Average differences between age from formula and real age in different [Fe/H] bins (upper panel) and different Teff bins (lower panel). The dispersion of the differences are shown with the error bars when there are more than one star in a given bin.

Current usage metrics show cumulative count of Article Views (full-text article views including HTML views, PDF and ePub downloads, according to the available data) and Abstracts Views on Vision4Press platform.

Data correspond to usage on the plateform after 2015. The current usage metrics is available 48-96 hours after online publication and is updated daily on week days.

Initial download of the metrics may take a while.