Free Access

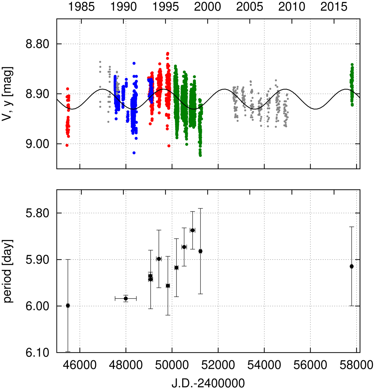
Fig. 6.

image

Top: long-term photometric V and y data of IN Com. Different colours mean different sources of observations; green: data from T6 and T7 APTs, blue: observations from the Hungarian 1 m RCC telescope, red: literary data (mostly from Paper 1) that are used for seasonal period determination, grey: literary data+ASAS data that are not suitable for seasonal period determination. The sine-wave fit by black solid line represents the long-term overall brightness change with a period of 7.2 yr, which is basically the wide binary period (see Sect. 6). Bottom: independent rotational period determinations for suitable seasonal data sets. Further details can be found in the text.

Current usage metrics show cumulative count of Article Views (full-text article views including HTML views, PDF and ePub downloads, according to the available data) and Abstracts Views on Vision4Press platform.

Data correspond to usage on the plateform after 2015. The current usage metrics is available 48-96 hours after online publication and is updated daily on week days.

Initial download of the metrics may take a while.