Free Access

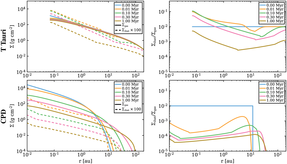
Fig. F.1

image

Results from the two-pop-py dust evolution model. Top row: T Tauri disk model. Bottom row: reference CPD model. Left column: time evolution of the gas (solid lines) and dust (dashed lines) surface densities as a function of radius. Right column: evolution of the dust-to-gas mass ratio.

Current usage metrics show cumulative count of Article Views (full-text article views including HTML views, PDF and ePub downloads, according to the available data) and Abstracts Views on Vision4Press platform.

Data correspond to usage on the plateform after 2015. The current usage metrics is available 48-96 hours after online publication and is updated daily on week days.

Initial download of the metrics may take a while.