Free Access

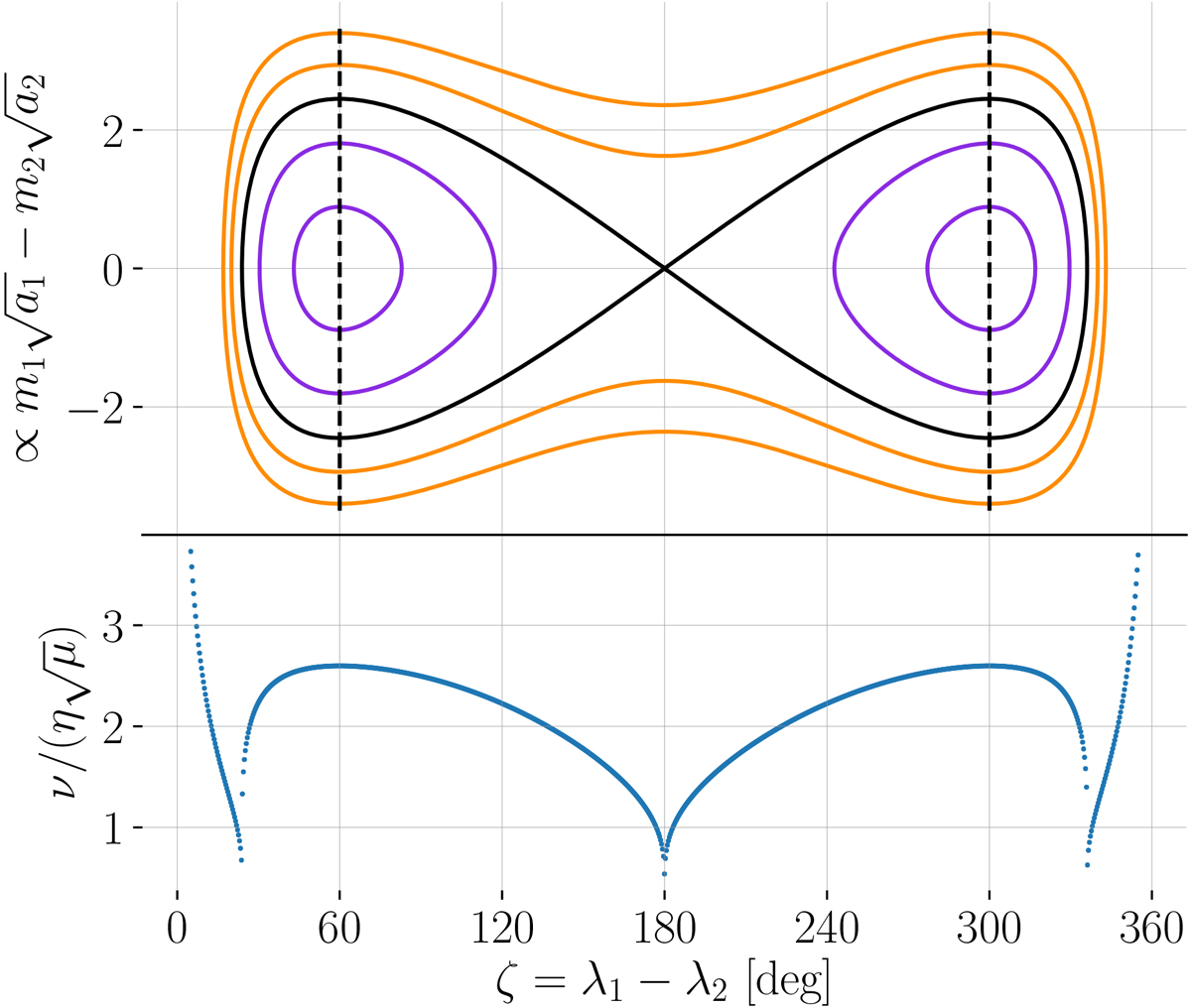
Fig. 1

image

Top: phase space of the co-orbital resonance valid for small eccentricities and inclinations. The x axis displays the resonant angle ζ = λ1λ2 while the y axis is its normalised angular frequency, which is proportional to . Bottom: value of the normalised fundamental frequency ν for initial conditions along the line (ζ,) of the top graph. Both graphs were obtained by integrating Eq. (1).

Current usage metrics show cumulative count of Article Views (full-text article views including HTML views, PDF and ePub downloads, according to the available data) and Abstracts Views on Vision4Press platform.

Data correspond to usage on the plateform after 2015. The current usage metrics is available 48-96 hours after online publication and is updated daily on week days.

Initial download of the metrics may take a while.