Free Access

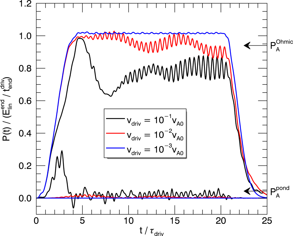
Fig. 12.

image

Ohmic power, , and the ponderomotive power, as functions of time, for different driver amplitudes. Labels are provided on the right-hand side of the figure. The plots have been normalised by , which gives the average power input from the driver in an equivalent but linear and ideal set-up.

Current usage metrics show cumulative count of Article Views (full-text article views including HTML views, PDF and ePub downloads, according to the available data) and Abstracts Views on Vision4Press platform.

Data correspond to usage on the plateform after 2015. The current usage metrics is available 48-96 hours after online publication and is updated daily on week days.

Initial download of the metrics may take a while.