Free Access

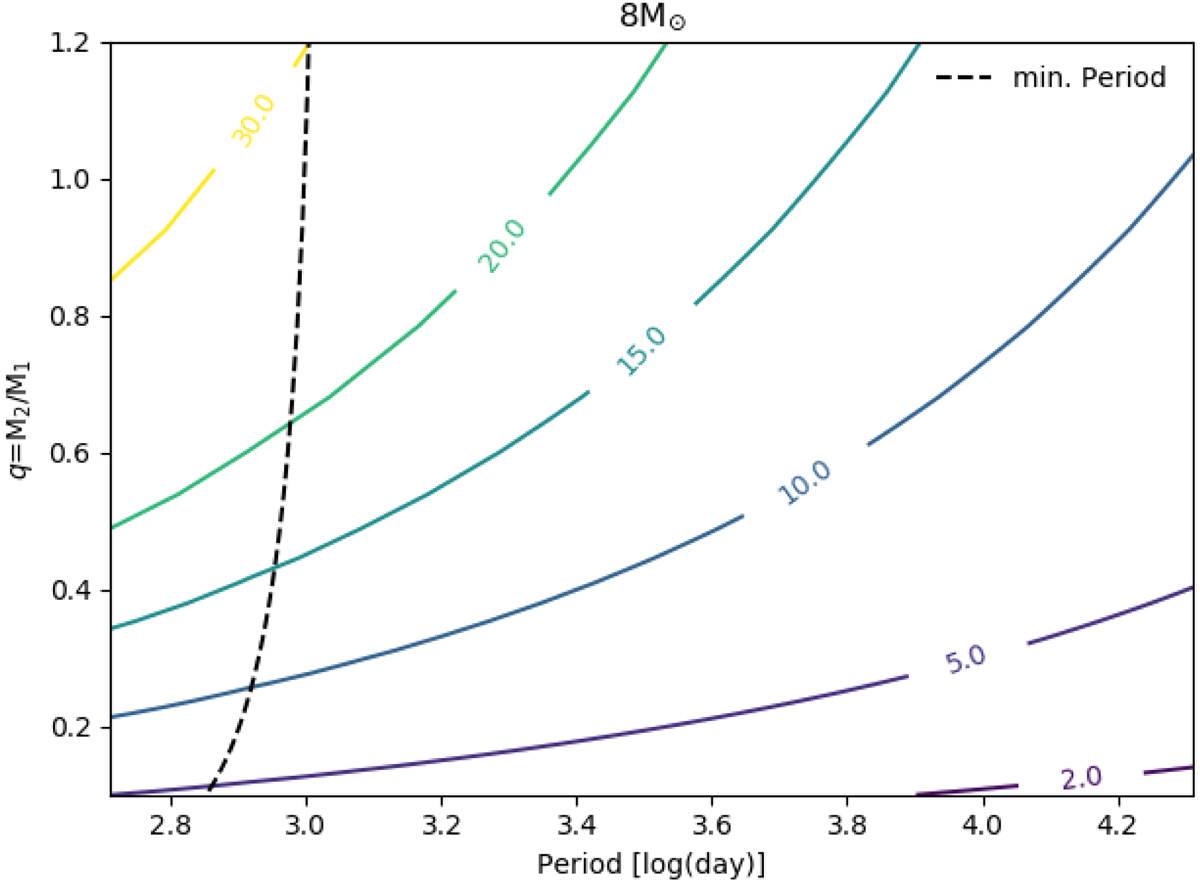
Fig. B.1.

image

Simulated semi-amplitude (K) velocities for an 8 M RSG in a binary system for a range of periods and mass ratios. Coloured solid lines illustrate constant velocities at 2, 5, 10, 15, 20, 30 km s−1, from shallow to steep, respectively. The black dashed line highlights the minimum possible period for an 8 M RSG for the corresponding mass ratio assuming that its maximum radius is 400 R (Brott et al. 2011). Therefore, all systems to the left of this line are excluded as a result of the size of the RSG primary.

Current usage metrics show cumulative count of Article Views (full-text article views including HTML views, PDF and ePub downloads, according to the available data) and Abstracts Views on Vision4Press platform.

Data correspond to usage on the plateform after 2015. The current usage metrics is available 48-96 hours after online publication and is updated daily on week days.

Initial download of the metrics may take a while.