Free Access

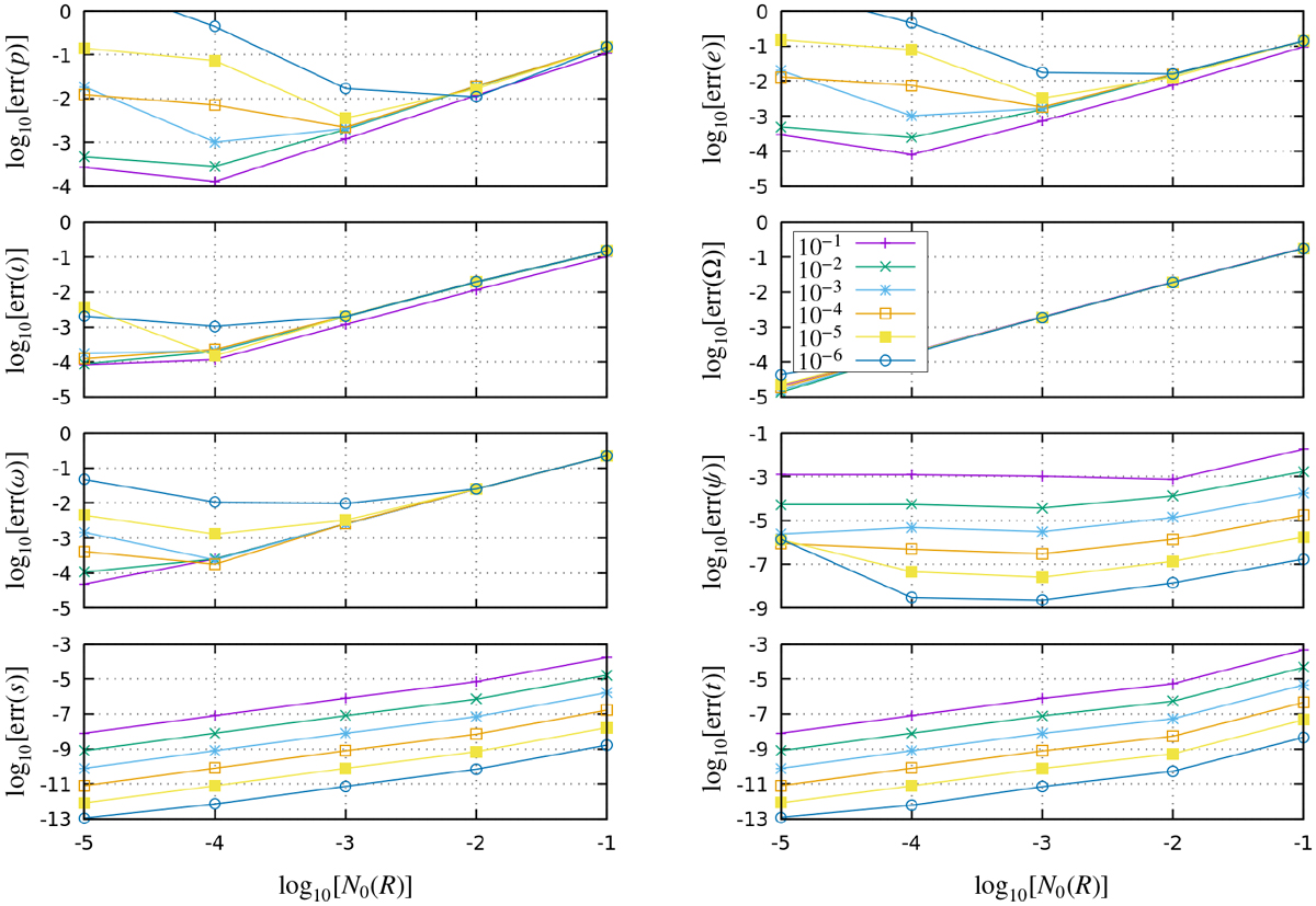
Fig. 5

image

Relative error on the change in elements C = (p, e, ι, Ω, ω, s, t, ψ), for different values of the refractivity at the surface (x-axis) and for different values of J2 (see values in the inset panel). The relative error on the change in elements is computed as err (C) = |ΔCnum − ΔCana|∕|ΔCnum|, with ΔC being the total change in the value of the elements between the transmission and the reception of the signal. The subscripts “num” refers to the numerical predictions while the subscript “ana” refers to the analytical solutions (cf. Eqs. (B.21)). The change in s, t, and ψ is the total change including the hyperbolic and the non-hyperbolic contributions.

Current usage metrics show cumulative count of Article Views (full-text article views including HTML views, PDF and ePub downloads, according to the available data) and Abstracts Views on Vision4Press platform.

Data correspond to usage on the plateform after 2015. The current usage metrics is available 48-96 hours after online publication and is updated daily on week days.

Initial download of the metrics may take a while.