Open Access

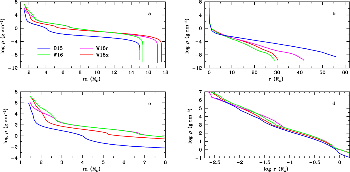
Fig. 1.

image

Density distribution as a function of interior mass for the whole star (a) and the inner region of 8 M (c), and as a function of radius for the whole star (b) and the inner region of 1 R (d) in the pre-SN models B15, W16, W18r, and W18x. The central collapsing core that is integrated into the neutron star is omitted.

Current usage metrics show cumulative count of Article Views (full-text article views including HTML views, PDF and ePub downloads, according to the available data) and Abstracts Views on Vision4Press platform.

Data correspond to usage on the plateform after 2015. The current usage metrics is available 48-96 hours after online publication and is updated daily on week days.

Initial download of the metrics may take a while.