Free Access

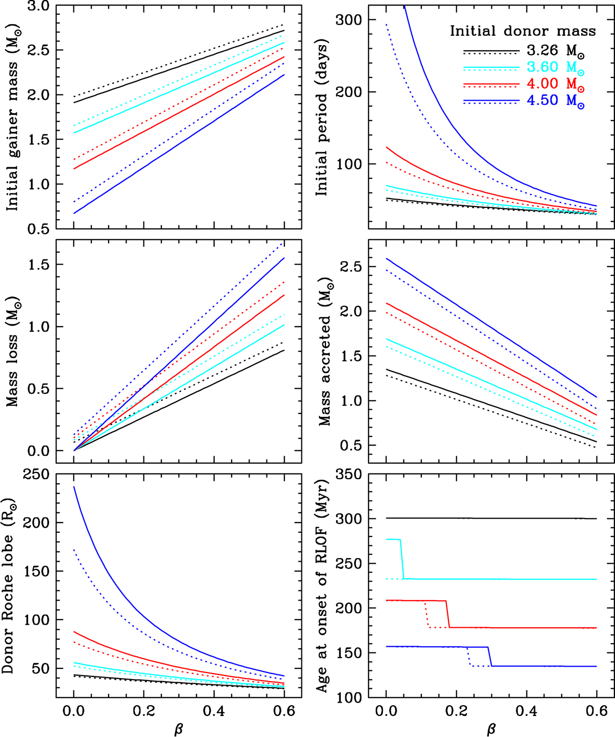
Fig. 7.

image

Initial conditions and other properties of the V643 Ori system under non-conservative mass transfer, calculated with the formalism of Soberman et al. (1997). Results are plotted for four initial donor masses (labelled), as a function of the fraction β of the mass transferred from the donor that is ejected from the system in the vicinity of the gainer. Middle panels: amount of mass lost, and amount of material that is actually accreted by the gainer. Bottom panels: size of the donor’s Roche lobe at the initial period (left), and age of the system (right) when the donor triggers mass transfer as it reaches that size, according to MESA models for normal solar-metallicity stars. The discontinuities in the age sequences as β increases are the result of the initial donor switching from attaining the critical (Roche-lobe) radius during the asymptotic giant branch phase (larger sizes) to reaching it on the first ascent of the giant branch (smaller radii, hence younger ages). Dotted lines in all panels show how the results change when an additional 5% of the mass transferred is lost to the system via an isotropic wind from the donor star (see text).

Current usage metrics show cumulative count of Article Views (full-text article views including HTML views, PDF and ePub downloads, according to the available data) and Abstracts Views on Vision4Press platform.

Data correspond to usage on the plateform after 2015. The current usage metrics is available 48-96 hours after online publication and is updated daily on week days.

Initial download of the metrics may take a while.