Free Access

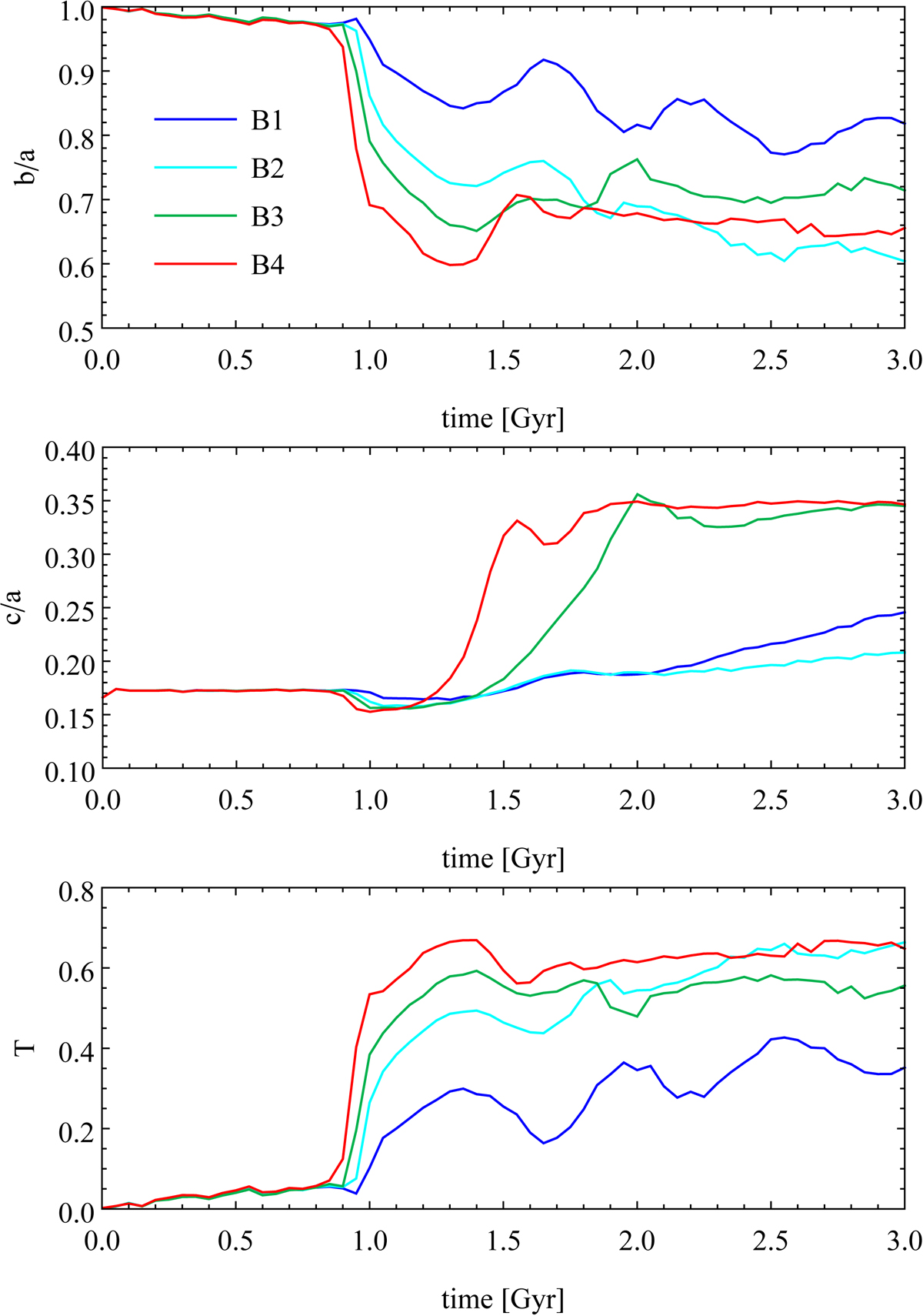
Fig. 1.

image

Evolution of the shape of the stellar component in time. From top to bottom: evolution of the axis ratio b/a (intermediate to longest axis), c/a (shortest to longest axis) and the triaxiality parameter T = [1 − (b/a)2]/[1 − (c/a)2]. Measurements were made for stars within the radius of 2Rd.

Current usage metrics show cumulative count of Article Views (full-text article views including HTML views, PDF and ePub downloads, according to the available data) and Abstracts Views on Vision4Press platform.

Data correspond to usage on the plateform after 2015. The current usage metrics is available 48-96 hours after online publication and is updated daily on week days.

Initial download of the metrics may take a while.