Free Access

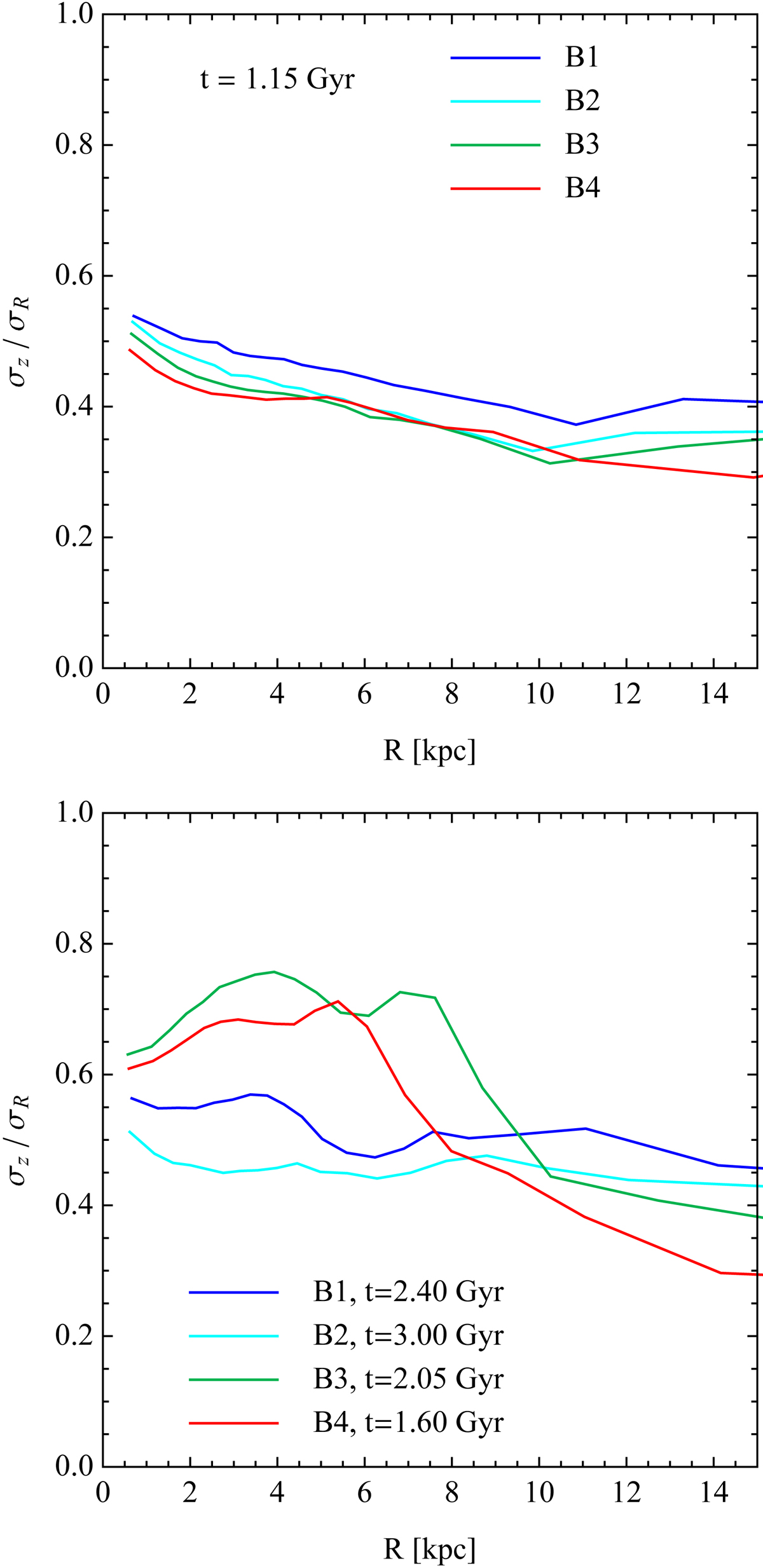
Fig. 10.

image

Profiles of the dispersion ratio σz/σR of the stellar component. Upper panel: profiles just after the formation of the bars but before the onset of buckling. Lower panel: ratio at the time of buckling.

Current usage metrics show cumulative count of Article Views (full-text article views including HTML views, PDF and ePub downloads, according to the available data) and Abstracts Views on Vision4Press platform.

Data correspond to usage on the plateform after 2015. The current usage metrics is available 48-96 hours after online publication and is updated daily on week days.

Initial download of the metrics may take a while.