Free Access

Fig. 5.

image

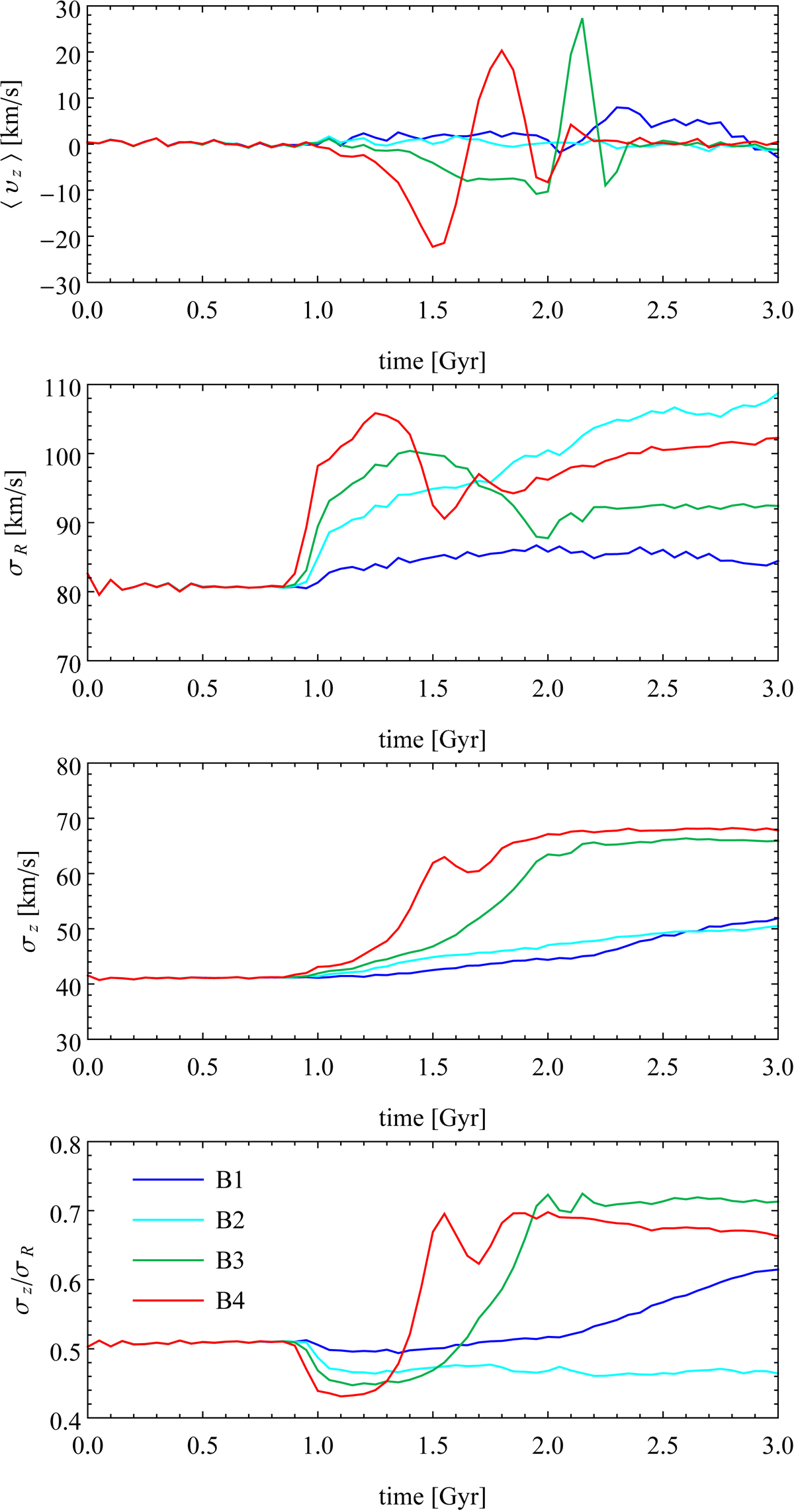
Evolution of kinematics of the stellar component in time. From top to bottom panels we show quantities most relevant for the characterization of buckling: the mean velocity along the vertical axis ⟨υz⟩ (first panel), the velocity dispersion along the cylindrical radius σR (second panel), the velocity dispersion along the vertical direction σz (third panel), and the ratio σz/σR (fourth panel). Measurements were made for stars within the radius of 2RD.

Current usage metrics show cumulative count of Article Views (full-text article views including HTML views, PDF and ePub downloads, according to the available data) and Abstracts Views on Vision4Press platform.

Data correspond to usage on the plateform after 2015. The current usage metrics is available 48-96 hours after online publication and is updated daily on week days.

Initial download of the metrics may take a while.