Free Access

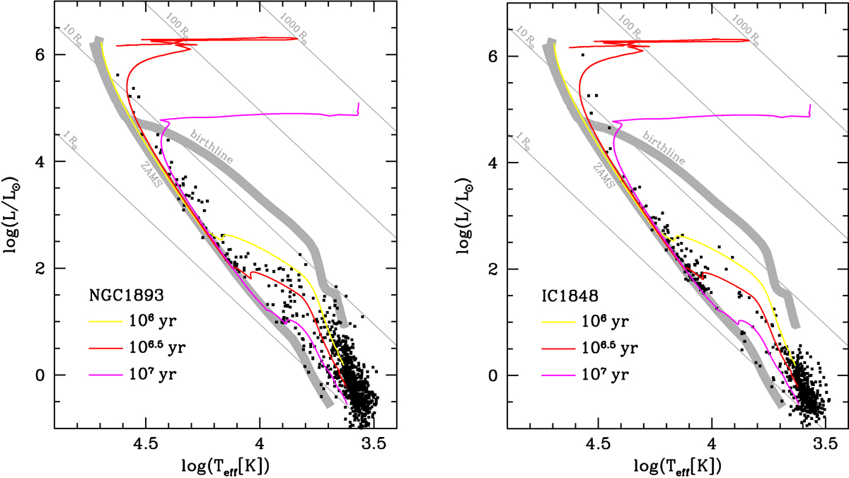
Fig. 11.

image

Comparison between the isochrones of 106 yr, 106.5 yr and 107 yr of the grid and observations of the IC 1848 and NGC 1893 clusters, from Lim et al. (2014a,b).

Current usage metrics show cumulative count of Article Views (full-text article views including HTML views, PDF and ePub downloads, according to the available data) and Abstracts Views on Vision4Press platform.

Data correspond to usage on the plateform after 2015. The current usage metrics is available 48-96 hours after online publication and is updated daily on week days.

Initial download of the metrics may take a while.