Free Access

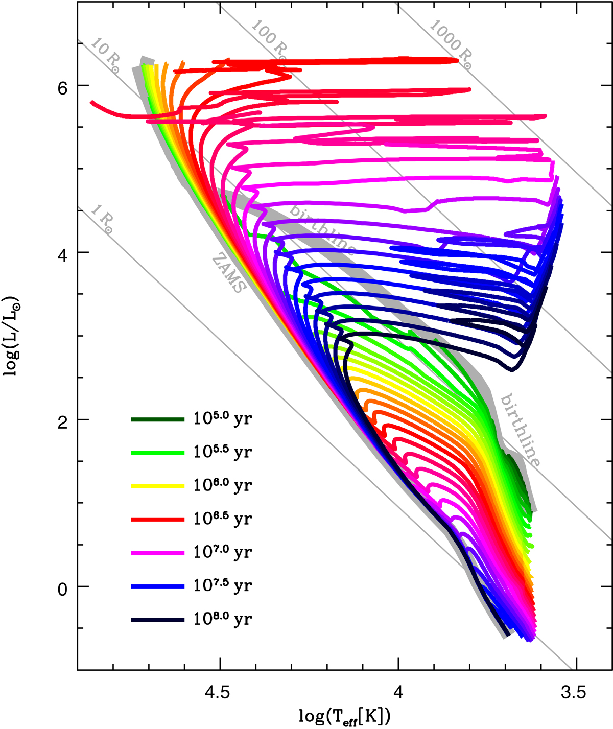
Fig. 6.

image

Isochrones of 105 yr to 108 yr, by steps of 0.1 dex. The ZAMS of Ekström et al. (2012) and the birthline of the present work are indicated by grey bands. The grey straight lines are iso-radius of the indicated radii.

Current usage metrics show cumulative count of Article Views (full-text article views including HTML views, PDF and ePub downloads, according to the available data) and Abstracts Views on Vision4Press platform.

Data correspond to usage on the plateform after 2015. The current usage metrics is available 48-96 hours after online publication and is updated daily on week days.

Initial download of the metrics may take a while.